误差的传递
发布时间:2017-09-01
分析的最后结果通常是由若干测量值经一系列计算而得出的,而每一测量值都存在误差,这些误差都会反映到分析结果中去。它们是如何影响分析结果的准确度呢?这就是误差传递所要讨论的问题。由于系统误差与随机误差的性质不同,下面分别进行讨论。
一、系统误差的传递
1、加减法
若分析结果R是A、B、C三个测量值相加减的结果,例如:
R=A+B―C
若E表示相应各项的测量误差,则分析结果R的误差ER为:
ER=EA+EB―Ec
可见分析结果的绝对误差为各测量值绝对误差的代数和。
如果各测量项有系数,例如:
R=mA+nB―pC
则 ER=mEA+ nEB―pEc
此时,分析结果的绝对误差为各测量值绝对误差与相应系数之积的代数和。
2、乘除法
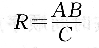
若分析结果为各测量值的积或商,比如R是A、B、c三个测量值相乘除的结果,即:

则得到 :

如果计算式带有系数,如![]()
即分析结果的相对误差为各测量值的相对误差的代数和,而与算式中的系数m无关。
二、随机误差的传递
1、加减法
若分析结果R是A、B、C三个测量值的相加减的结果,即:
R=A+B-C
若以s代表各项的标准偏差,则有:

对于一般通式R=mA+nB+pC

即分析结果的方差为各测量值方差与相应系数的平方之积的和。
2、乘除法
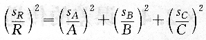
若分析结果R是A、B、C三个测量值相乘除的结果,如:

则有:

即分析结果的相对标准偏差的平方等于各测量值相对标准偏差的平方之和,而与系数无关。
参考资料:分析化学







