煤的热稳定性测定方法
发布时间:2017-09-01
煤的热稳定性是指煤在高温燃烧或气化过程中对热的稳定性程度,也就是煤块在高温作用下保持原来粒度的性质。热稳定性好的煤在燃烧或气化过程中不破碎或破碎较少;热稳定性差的煤在燃烧或气化过程中迅速裂成小块或爆裂成煤粉。由于细粒度煤的增多,轻则增加炉内的阻力和带出物,降低气化和燃烧效率;重则破坏整个气化过程,甚至造成停炉事故。
因此使用块煤作为气化原料时,应预先测定其热稳定性,以便选择合适的煤种或改变操作条件,来尽量减小因热稳定性差而对气化过程的影响,使运转正常。因此煤的热稳定性是生产、科研及设计单位确定气化工艺、技术、经济指标的重要依据之一。
煤的热稳定性测定方法的测定条件是依据煤加入煤气发生炉内首先进人干燥层表面,煤突然受热而发生不同程度的破裂;干燥层以下是干馏层,其表面温度一般在800~9000C,煤主要在干馏层受热破裂。经过反复试验后,确定试验温度为8500C,受热时间为30min。
一、方法提要
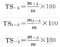
量取6~13mm粒度的煤样,在(850±15)℃的马弗炉中隔绝空气加热30min,称量,筛分,以粒度大于6mm的残焦质量占各级残焦质量之和的百分数作为热稳定性指标TS+6;以3~6mm和小于3mm的残焦质量分别占各级残焦质量之和的百分数作为热稳定性辅助指标TS3~6、TS-3。
二、测定步骤
①按煤样制备方法的规定制备6~13mm粒度的空气干燥煤样约1.5kg,仔细筛去小于6mm的粉煤,然后混合均匀,分成两份。
②用坩埚从两份煤样中各取500cm3煤样,称量(称准到0.01g)并使两份质量一致(±lg)。将每份煤样分别装入5个坩埚,盖好坩埚盖并将坩埚放入坩埚架上。
③迅速将装有坩埚的架子送入已升温到9000C的马弗炉恒温区内,关好炉门,将炉温调到(850±15)℃,使煤样在此温度下加热30min。煤样刚送入马弗炉时,炉温可能下降,此时要求在8min内炉温恢复到(850±15)℃,否则测定作废。
④从马弗炉中取出坩埚,冷却到室温,称量每份残焦的总质量(称准到0.01g)。
⑤将孔径6mm和3mm的筛子和筛底盘叠放在振筛机上,把称量后的一份残焦倒人6mm筛子内,盖好盖并将其固定。
⑥开动振筛机,筛分10min。
⑦分别称量筛分后粒度大于6mm、3~6mm及粒度小于3mm的各级残焦的质量(称准到0.01g)。
⑧将各级残焦的质量相加,与筛分前的总残焦质量相比,二者之差不应超过±lg,否则测定作废。
三、结果计算
煤的热稳定性指标和辅助指标按式计算:

式中TS+6――煤的热稳定性指标,%;
TS3~6、TS一3――煤的热稳定性辅助指标,%;
m――各级残焦质量之和;g;
M+6――粒度大于6mm的残焦质量,g;
m3~6――粒度为3~6mm的残焦质量,g;
m-3――粒度小于3mm的残焦质量,g。
计算两次重复测定各级残焦指标的平均值。
将各级残焦指标的平均按数据修约到小数点后一位,作为最后结果报告。
四、精密度
各项指标的两次重复测定的差值都不超过3.0%。
将各级残焦指标的平均值按数据修约规则修约到小数点后一位,作为最后结果报告。







