煤的工业分析(二)
发布时间:2017-09-01
3.水分损失补正
如果在运送过程中煤样的水分有损失,则按式(2―18)求出补正后的全水分值:

式中 M1’――煤样的全水分,%;
M1――煤样在运送过程中的水分损失百分率,%;
Mt――不考虑煤样在运送过程中的水分损失时测得的全水分,%。
当M1大于1%时,表明煤样在运送过程中可能受到意外损失,则可不补正,但测得的水分可作为试验室收到煤样的全水分。在报告结果时,应注明“未经水分损失补正”,并将容器标签和密封情况一并报告。
4.方法的精密度
全水分测定结果的重复性要求见表2―9规定。

(四)空气干燥煤样水分的测定
我国国家标准(GB/T 212)规定空气干燥煤样水分的测定主要有两种方法。其中,在氮气流中干燥的方式(方法A)适用于所有煤种;在空气流中干燥的方式(方法B)仅适用于烟煤和无烟煤。在仲裁分析中遇到有用空气干燥煤样水分进行校正以及基的换算时,应用方法A测定空气干燥煤样的水分。以方法A作为仲裁方法。
1.方法A(通氮干燥法)
(1)方法提要称取一定量的空气干燥煤样,置于105~110℃干燥箱中,在干燥氮气流中干燥到质量恒定。然后根据煤样的质量损失计算出水分的质量分数。
(2)分析步骤在预先干燥和已称量过的称量瓶内称取粒度小于0.2mm的空气干燥煤样(1.0±0.1)g(称准至0.0002g),平摊在称量瓶中。
打开称量瓶盖,放人预先通人干燥氮气并已加热到105~110℃的干燥箱中(在称量瓶放入干燥箱前10min开始通氮气,氮气流量以每小时换气15次为准)。烟煤干燥1.5h,褐煤和无烟煤干燥2h。
从干燥箱中取出称量瓶,立即盖上盖,放入干燥器中冷却至室温(约20min)后称量。进行检查性干燥,每次30min,直到连续两次干燥煤样质量的减少不超过0.001g或质量增加时为止。在后一种情况下,采用质量增加前一次的质量为计算依据。水分在2%以下时,不必进行检查性干燥。
2.方法B(空气干燥法)
(1)方法提要 称取一定量的空气干燥煤样,置于105~110℃干燥箱内,于空气流中干燥到质量恒定。根据煤样的质量损失计算出水分的质量分数。
(2)分析步骤在预先干燥并已称量过的称量瓶内称取粒度小于0.2mm的空气干燥煤样(1.0±0.1)g(称准至0.0002g),平摊在称量瓶中。打开称量瓶盖,放入预先鼓风并已加热到105~110℃的干燥箱中(预先鼓风是为了使温度均匀。将装有煤样的称量瓶放入干燥箱前3~5min就开始鼓风)。在一直鼓风的条件下,烟煤干燥1h,无烟煤干燥1~1.5h。从干燥箱中取出称量瓶,立即盖上盖,放入干燥器中冷却至室温(约20min)后称量。进行检查性干燥,每次30min,直到连续两次干燥煤样的质量减少不超过0.001g或质量增加时为止。在后一种情况下,采用质量增加前一次的质量为计算依据。水分在2%以下时,不必进行检查性干燥。
3.甲苯蒸馏法
(1)方法提要 称取一定量的空气干燥煤样于圆底烧瓶中,加入甲苯共同煮沸。分馏出的液体收集在水分测定管中并分层,量出水的体积(mL)。以水的质量占煤样质量的百分数作为水分含量。
(2)分析步骤 称取25g粒度小于0.2mm的空气干燥煤样(称准至0.0001g),移入干燥的圆底烧瓶中,加入约80mL甲苯。为防止喷溅,可放适量碎玻璃片和小玻璃球。安装好水分测定仪。在冷凝管中通入冷却水。加热蒸馏瓶至内容物达到沸腾状态,控制加热速度,使在冷凝管口滴下冷凝液滴数为每秒2~4滴。连续加热,直到馏出液清澈并在5min内不再有细小水泡出现为止。取下水分测定管,冷却至室温,读取水的体积(mL),再按校正后的体积由回收曲线上查得煤样中水的实际体积V。回收曲线的绘制:用微量滴定管准确量取0.1mL、2mL、3mL、…、10mL蒸馏水,分别放入水分测定仪中,每瓶各加入80mL甲苯,然后按上述步骤进行蒸馏。根据水的加入量和实际蒸出的体积绘制回收曲线。更换试剂时,需重新作回收曲线。
4.结果计算
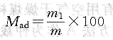
①方法A和方法B测定空气干燥煤样的水分按式(2―19)计算:

式中Mad――空气干燥煤样的水分,%;
m――称取的空气干燥煤样的质量,g;
ml――煤样干燥后失去的质量,g。
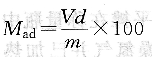
②甲苯蒸馏法测定空气干燥煤样的水分按式(2―20)计算:

式中Mad――空气干燥煤样的水分,%;
V――由回收曲线图上查得的水的体积,mL;
d――水的密度,20℃时取1.00g/mL;
m――称取的空气干燥煤样的质量,g。
5.水分测定的精密度
水分测定结果的重复性要求见表2-10规定。

二、煤的灰分测定
1.煤中灰分的来源及测定意义
(1)煤中灰分的来源煤中的灰分不是煤的固有成分,而是煤中所有可燃物质完全燃烧以及煤中矿物质在一定温度下产生一系列分解、化合等复杂反应后剩下的残渣。灰分常称为灰分产率。
煤中矿物质的来源有3种:
①原生矿物质。即成煤植物中所含的无机元素,一般含量较少。
②次生矿物质。它是在成煤过程中由外界混人或与煤伴生的矿物质,一般含量也较少。
③外来矿物质。它是煤炭开采和加工处理中混入的矿物质。
原生矿物质和次生矿物质总称为内在矿物质,二者通常很难用选煤方法除去。外来矿物质可用选煤方法除去。
(2)测定意义灰分是降低煤炭质量的物质,在煤炭加工利用的各种场合下都带来有害的影响,因此测定煤的灰分对于正确评价煤的质量和加工利用等都有重要意义。
①灰分是煤炭贸易计价的主要指标。
②在煤炭洗选工艺中,灰分是评价精煤质量和洗选效率的指标。
③在炼焦工业中,灰分是评价焦炭质量的重要指标。
④锅炉燃烧中,根据灰分计算锅炉热效率,考虑排渣工作量等。
⑤在煤质研究中,根据灰分可以大致计算煤的发热量和矿物质等。
我国国家标准(GB/T 212)规定煤中灰分测定包括两种方法――缓慢灰化法和快速灰化法(包括方法A和方法B)。其中,缓慢灰化法为仲裁法。
2.测定原理
称取一定量的空气干燥煤样,放人马弗炉或灰分快速测定仪中,以一定的速度加热到(815±10)℃,灰化并灼烧到质量恒定。以残留物的质量占煤样质量的百分数作为灰分产率。
煤在燃烧过程中发生如下化学反应:

(1)缓慢灰化法 称取一定量的空气干燥煤样,放入低于100℃的马弗炉中,在30min内升温至5500℃,并在此温度下保温30min,再升至(815±10)℃,灼烧1h至质量恒定。以灰渣的质量占煤样质量的百分数为灰分产率。缓慢灰化法的理论依据为:
①炉温在100℃以下开始实验,30min后升至500℃从而防止煤样爆燃。
②在500℃停留30min,使煤中硫化物在碳酸盐分解之前就完全氧化并排出,避免生成硫酸钙,减少灰中固定硫的量。
③灰化过程中始终保持良好的通风状态,使硫氧化物一经生成就及时排出,减少CaO与硫氧化物的接触机会,因此要求高温炉装有烟囱,或将炉门开启一小缝使炉内空气自然流通。
④在815℃灼烧足够长的时间,以保证碳酸盐分解完全及COz全部驱出。
(2)快速灰化法
①快速灰分测定仪法(方法A)。将装有煤样的灰皿放在预先加热至(815±10)℃的灰分快速测定仪的传送带上,煤样自动送入仪器内完全灰化,然后送出。以残留物的质量占煤样质量的百分数作为煤样的灰分。
②马弗炉法(方法B)。将装有煤样的灰皿由炉外逐渐送入预先加热至(815±10)℃的马弗炉中灰化并灼烧至质量恒定。以残留物的质量占煤样质量的百分数作为煤样的灰分。
参考资料:煤质分析及煤化工产品检测







