工件面形的精确测量仿真
发布时间:2017-09-01
引 言
s对于纳米级以下工件面形的高精度加工,面形精确测量非常重要;只有得到微小的面形偏差数据,才能指导工件面形的进一步加工。对于微小面形偏差,采用常规的方法难以实现,对于表面具有一定反射率的工件,可以通过一定的能量衰减,从而借用光学元件的面形测量技术。
目前常用干涉仪对光学元件的面形进行测量。在干涉波前恢复方式中,可以分为相移法、条纹跟追法和相位展开方法。相移法是通过获取同一方向上的一定相位差的多幅干涉图来计算平面波通过相位物体的相位变化,条纹跟追方法是通过计算干涉图中的干涉条纹的相对偏移量来获取相位差信息,其缺点是必须知道原场的分布特征才能够恢复完整的波面[1-3]。相位展开方法,优点在于只需要一幅完整的、无波面缺损的干涉图即可实现波面恢复,全面获取相位差信息[3,4]。相比之下,相移法的面形测量精度较高,其缺点是必须在同一方向上通过不同时间段获取多幅干涉图,所以不能应用于瞬态干涉测试[5];而相位展开方法虽然测量精度较低,但可以用于实时测量。对于工件的面形测量,由于环境振动影响,可以采用是Hartman 波前传感器,但是该仪器因测量原理上的限制,只能测量工件面形的空间低频信息。相对而言,瞬态干涉测试在工件高频面形偏差的测试中具有一定优势。利用GLAD 软件,模拟菲索干涉仪得到工件面形的干涉图样,然后再读入该图片,利用相位展开方法获得了工件面形重构结果。

1 干涉图的波前恢复原理
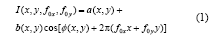
在光学测量中,被测量工件放置在样品元件的下面,如图1 所示。根据干涉理论,在元件测量中,菲索干涉仪得到的干涉条纹强度空间分布为[4]:

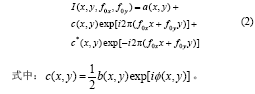
式中:a(x,y)和b(x,y)为干涉场背景光强和条纹对比分布;f0x、f0y 分别为两个方向的空间载波频率;φ(x,y) 为波面位相值。将公式(1)表述为复指数形式:

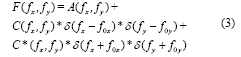
相位展开方法的本质是在分析干涉图的光强分布特征的基础上,对表征光强的灰度图像运用傅里叶变换获得干涉图的空间频谱信息,通过空间载波的解调,对由光学元件产生的波面变化进行恢复,得到元件面形的重构结果。对表征公式(2)光强分布的灰度值图像作二维傅里叶变换可得经过相位调制的空间频谱函数为:

式中:F(fx,fy)、A(fx,fy)、C(fx,fy)分别为I(x,y)、A(x,y)、C(x,y)的傅里叶变换。公式(3)中包含三部分的内容:第一项A(fx,fy)表征相干波面未经过元件面形调制的空间频谱;第二项为含相干波面信息的、以(f0x,f0y)为中心的频谱函数;第三项为含相干波面信息的、以(-f0x, -f0y)为中心的频谱函数。相位物体引起的相位变化φ(x,y)的信息包含在第二、三项中。选择适当的f0x、f0y 值,在频域中将给出3 个分离的谱瓣,在频域内利用滤波函数提取以(f0x, f0y)为中心的频谱C(fx -f0x,fy -f0y),即可提取相位信息φ(x,y)。

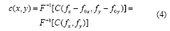
式中:c(x,y)的的实部与虚部比值的反正切值就是波面相位,且无背景光强和条纹对比分布的影响,即波面相位为:

由公式(5)得到的恢复波面φ(x,y)可能不是连续的,而实际元件面形变化是连续的,所以需要通过相位展开过程将φ(x,y)恢复连续波面相位φT (x,y),即发生了相位跃变处相位面上各点的相位相应增加或减少2π。这种进行相位累加的过程也称为相位解包。
2 仿真结果与分析
利用GLAD 软件模拟一个带有球差的元件面形和随机像差的元件面形,两元件的面形如图2、图3 所示,其中球差面形元件的均方根像差rms=0.1 533 441 λ,而随机像差面形元件rms=0.3 540 679 λ。计算点阵为1 024×1 024。
再模拟一个菲索干涉仪中无像差的标准镜,其倾斜放置产生的参考波面如图4 所示。



那么用菲索干涉仪器去检测图2、图3 所示的元件时,在理论上即是图2、图3 所示元件面形与图4参考元件波面的干涉。由公式(1),通过干涉过程,将产生图5 所示的干涉图形。
在程序中读入图5 所示的干涉条纹图,由公式(5),通过相位恢复算法及相位展开过程,实现干涉图的波前恢复,可以得到图6 所示的面形平面图,图7 给出了两个元件的面形立体图。模拟结果显示,球差面形元件的均方根像差rms=0.1 497 368 λ,与元件的初始面形像差基本相同;而随机像差面形元件rms=0.2 772 484 λ,与元件的原始面形像差差异较大。对比图7 与图2、图3,可以发现干涉图波前恢复得到的面形立体图,与元件的初始面形也存在一定失真。分析表明,这可能是计算点阵数量较少导致的采样不足引起的,在傅里叶变换和解调过程中,出现了图像信息的缺损。


3 结 论
文中介绍工件面形精确测量技术中干涉面形重构方法,利用GLAD 软件模拟了工件或光学元件在菲索干涉仪测试中得到的干涉图,再由干涉图,初步重构了元件面形。模拟结果显示:干涉图波前恢复得到的面形,与元件的初始面形存在一定异。这种差异可能是计算点阵不足引起的。目前干涉测量技术也有进一步发展,相移式干涉仪也在向瞬态测试方向发展。
摘自:中国计量测控网







