温度测量技术的应用(四)
发布时间:2017-09-01
在科研生产和社会生活中,经常会遇到流体温度测量的问题。由于流体的热物理性质、流动参数以及环境条件千差万别,需要根据测量的要求选择合适类型的温度传感器和测量方法。一般来讲与液体介质相比,对气体介质温度的测量需要考虑更多的问题,因此本文主要以气体介质为主进行介绍。
1接触法测量流体温度的影响因素
1・1导热误差和辐射误差
如图1所示,当使用温度传感器测量流体温度时(假设流体温度大于安装壁面温度),对于传感器而言,在平衡状态下热交换情况包括:①流体对传感器的对流换热qk;②传感器杆的温度梯度引起的传导热流qc;③传感器头部与壁面的辐射换热热流qr。要想测量流体的真实温度,就需要使传感器感温元件处的温度与流体温度相等。但由于导热热流和辐射热流的存在,使得热平衡时必然存在着流体对传感器的对流热流,即流体和传感器感温元件间必定存在温差,从而带来测量误差。由导热热流和辐射热流导致的测温误差分别称为导热误差和辐射误差。

1・2速度误差
当测量高速气流的总温时,就需要考虑温度传感器的速度误差,即由于气流运动的动能不能在传感器测点处完全滞止为热能而带来的测温误差,一般用恢复系数来表示传感器动温恢复的程度。
1・3动态误差
当被测气流温度快速变化时,如温度突然升高或降低,或者产生高频的温度脉动时,为实时准确测量气流温度,就需要温度传感器能快速地响应。实际上温度传感器都有一定的热容量,必然存在热惯性,不能立刻反映气流温度的变化,由此带来的误差称为动态误差。
2低速气流温度的测量
对于低速气流,或者是对静止空气、低压力气流的温度测量,其共同特点是被测介质与传感器之间的对流换热系数很小,容易导致测温误差增大。改善的手段是采取措施增大对流换热系数,并设法减小传感器的辐射热损失和传导热损失。
2・1增加对流换热的措施
1)使用带翅片的传感器,增加对流换热面积,且翅片使用高导热、低发射率的材料制作,以减小辐射误差。
2)在保证强度的前提下尽可能使用直径小的传感器,且传感器垂直气体流动方向安装,以增加对流换热系数。
3)尽可能把传感器安装在管道弯头等有紊流的部位,在这些区域流体经常出现无规则的旋涡,从而改善对流换热状况,提高对流换热能力。
4)采用抽气式热电偶,利用外力来提高流过传器测量端的那一部分被测气流的速度,以增加对流换热。
2・2减小辐射热流的措施
1)使用低发射率的偶丝材料或在其表面涂覆低发射率的金属如金、银或铂。
2)在传感器和被测流体壁面之间使用屏蔽罩。屏蔽罩通常做成圆筒形,有时为了进一步提高屏蔽效果,可采用多层屏蔽罩。设计多层屏蔽罩时,要注意层间保持一定距离,以减少气流在层间的流动阻力,提高流体对每一层的对流换热能力。为了减小端部的热辐射损失,通常把热电偶热端放在内层屏蔽罩内,大约从气流进口算起约2~3倍内管直径处为宜。
3)加热传感器屏蔽罩使屏蔽罩的温度接近被测温度,以减小辐射的影响
2・3减小导热热流的措施
1)采用横截面小、长度大,且材料导热系数小的传感器。图2所示是几种测量管道中流体温度的传感器安装方式,一般建议测量流动气体的温度时,温度传感器的长径比(长度和直径的比值)不小于6,对于静止气体应不小于15。
2)传感器要沿等温线放置,如图2中(a)所示,如果空间不够时,可以如图2中(b), (c)方式安装得到类似的效果。
3)在传感器根部进行保温或加热,减小其与测量端的温差,以减小导热误差。

2・4利用组合热电偶、零直径外推法测量低速气流温度
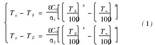
当使用不同直径的热电偶测量气流温度时,由于换热情况不同,处于同一被测温度下的几支直径不同热电偶的指示温度就会出现差别。根据传热学的稳态传热理论建立模型,可以把气流的真实温度计算出来。下面以对焊式双热电偶法举例说明。设两对热电偶的偶丝直径分别为d1和d2,与气流平衡时的示值和换热系数分别为Tj1,Tj2和α1,α2,它们的发射率均为ε,壁温为Tw。两支热电偶均垂直于气流安装,插入长度足够大使导热误差可以忽略。于是可得

通过合理设计双热电偶的结构,使关系容易确定,则联立上式即可求出气流温度Tg。
理论上,随着偶丝直径趋近于0,导热误差和辐射误差也趋近于0,传感器测量的温度就趋近于气流的真实温度。因此使用不同直径而结构形式相同的热电偶测量气流的温度,然后通过适当的拟合方法外推到直径为0的情况,就可以得到气流的真实温度,这种方法称为零直径外推法。
3高速气流温度的测量
一般来讲,当测量气流总温时,流速越大,传热效果越好,测量误差就越小。但是,当气流速度高到一定程度之后又会引起新的误差,即速度误差。显然,提高气流在传感器周围的滞止程度是减小速度误差的有效方法。在工程测量中,减小速度误差的方法是采用屏蔽滞止的方式,即在热电偶接点的外面加装一个屏蔽滞止罩,形成一个阻滞室,气流在阻滞室中受到第一次阻滞,流速下降,气流的动能受到第一次转换;在阻滞室内,低速流动的气流又受到热接点的第二次阻滞,使气流的大部分动能转换成了热能,从而提高传感器的恢复系数。
根据滞止罩的结构形式不同,有多种形式的总温传感器,下面列举几种不同结构(见图3)供测量时选用。
图3 (a)所示是一种具有流线形滞止罩的总温热电偶传感器,对被测流场和温场的破坏最小。在传感器前方开有若干个小孔,被测气流从这些小孔进入,流过热电偶热端后从侧后方两个小孔流出。因为入口总面积大于出口面积,气流在罩内的流动受到滞止,而把速度降下来并保持其相对稳定,在宽的流速范围内其恢复系数可保持在0・95~0・98之间。
图3 (b)所示传感器也带有流线形滞止罩。滞止罩的正前方开孔作为进气口,后方开孔为排气口,热电偶热端置于两孔之间。这种结构的热电偶,当马赫数Ma<0・45时,恢复系数随着Ma增加而增加,当1>Ma>0・45时,恢复系数大于0・92,并保持罩内流速相对稳定,适于测量Ma大于0・45的气流温度。
图3 (c)是一种为测量喷气发动机排气温度用的总温传感器,它具有圆柱形的滞止罩,罩的侧面分别有进气口和排气口。这种结构的传感器与图3(a)(b)相比结构简单,其恢复系数也可达0・95。
图3 (d)所示是一种具有圆筒形滞止罩的总温传感器,在圆筒正前方迎向气流的一面作为进气口,圆筒后方与铠装热电偶连接,在铠装热电偶插入罩内的一小段上,除去外层和绝缘层露出热电极后焊接起来组成热端,在热端后的圆筒周边上开有8个小孔,作为气流出口,其恢复系数可达0・95~0・98。
图3 (e), (f)和(g)是具有半屏状滞止罩的总温传感器,滞止罩是一个空心圆柱体,在其迎流方向上去掉一部分,以便露出热电偶热端。测量时滞止罩应与气流垂直安放,气流受到热端和屏的滞止速度近于零,其恢复系数可以做到0・95~0・98,且基本与马赫数Ma无关。这类总温传感器结构简单,加工容易,但在同样情况下,对屏的强度要求高,在实际测温中对被测温断面上的流场和温度场的影响也较其它几种大。

不管是哪种结构,屏蔽罩进排气孔的面积比将影响屏蔽罩内的气流速度,为了减小速度误差,应该采用小的内流速度;而为了减小辐射误差和导热误差,则应该采用大的内流速度。在这种相互矛盾的情况下,要使热电偶具有最小的综合测温误差,就存在着最佳内流速度,在设计时需要注意。
4高温气流温度的测量
在高温情况下,气流温度测量的误差主要是辐射误差,一般采用屏蔽式(单屏或双屏)结构来消除。其速度误差和导热误差可以根据前面的分析综合考虑。由于测量温度很高,如果标准分度的高温热电偶不能满足要求,可以选用测温更高的非标准化的热电偶来进行测量,如PtRh40-PtRh20热电偶、铱铑热电偶、钨铼热电偶,或者一些非金属的热电偶等。如果热电偶材料或保护套管材料温度不能满足要求,可以考虑使用动态法来测量。一般是将一裸丝热电偶传感器热端迅速插入气流中,在气流的加热下温度升高,但是在达到该热电偶允许使用的上限温度之前就迅速将其抽出,记录热电偶插入气流中的这段时间的输出变化曲线,再通过反演就可得出被测气流的真实温度。由于这种方法需要预先知道传感器的动态特性,因此测量误差较大。
还有一种脉冲测量法可以得到更准确的结果。将热电偶热端迅速地插入被测高温介质中,在温度超其正常使用温度前迅速取出冷却,然后重复进行。在这个过程中,传感器感受的温度是周期波动的。如果在被测介质中停留时间是τi,弹出后在环境中停留的时间是τo,假设弹入和弹出时间可以忽略,且在测量过程中换热系数保持不变,则根据传感器被加热和冷却时换热量平衡。
式中:kg-t,kt-a分别为被测流体对传感器和传感器对环境的换热系数;Tg,Ta和Tt分别为流体温度、环境温度和传感器的平均温度。
在式(2)中,由于换热系数很难准确计算或测量,因此可以将t看作一个变量,加上被测量Tg共有两个变量。为了求得上述两个变量,可以改变τi和τo再进行一次重复测量,根据公式(2)得到一个二元一次方程组,求解可得

5气流温度的快响应测量
在测量温度快速变化或脉动变化的气流温度时,需要用到快响应的温度传感器。一般使用细丝热电偶,即直径0・1mm以下的细丝热电偶,在气流中其时间常数一般可以达到几十毫秒。但由于偶丝直径小,强度低,在使用中很容易被损坏,通过减小偶丝直径和结点大小提高其动态性能,提高的空间已经不大。有时为了提高细丝热电偶的可靠性,可以采用数支并联的方式,在测量过程中只要不完全损坏仍可以正常工作,得到的测量结果为几个测点处的平均值。
另外还可以采用薄膜温度传感器,即用真空镀膜的方法在绝缘基体上制作微米级厚度的传感器薄膜,这种传感器频响可以达到微秒级。但由于基体本身也是一个大的热容体,很难兼顾温度测量的准确性。此有必要对高频响温度传感器的动态补偿和分析方法进行研究,通过适当算法补偿,实现快速、准确的温度测量。
6液体温度的测量
与气体相比,液体对流换热系数一般大很多倍,提高测量准确度比气体要容易,在相同的测量准确度下要求传感器插入的深度也会大大减小。图4表示了一种不锈钢套管的Pt100温度传感器在要达到相同的测温误差情况下,在不同的介质中要求的插入深度。在工业生产领域中,测量的介质很多带有腐蚀性,这就要求传感器保护套管有抗腐蚀能力,因此保护套管的选择是非常重要的。作为保护管材料,主要有金属、非金属和金属陶瓷三类。金属保护管的特点是机械强度高,韧性好,抗渣性强,因此多用于要求具有足够机械强度的场合;非金属保护管主要有高熔点氧化物及复合氧化物、氮化物、碳化物、硼化物等,般氧化物和硅化物可以在氧化气氛下使用,其他在中性或还原气氛下使用,具有耐高温,但抗热振性差的特点;金属陶瓷保护套管包括Al2O3基、MgO基、ZrO2基和碳化钛基等几种,兼具金属和陶瓷的优点,耐高温、抗腐蚀,具有很好的应用前景。

7非接触法测量气体温度
7・1直接测量法
由于气体具有选择性吸收特性,因此在使用红外温度计直接测量时有效波长应与被测气体的吸收波长一致,被测气体的厚度要足够大以消除背景的影响。值得注意的是很多气体的光谱吸收率是随温度变化的,比如1800K的CO2气体是300K时的1000倍,因此可以透过低温CO2气体层测量高温CO2气体的温度。很多红外温度计会根据特定的被测气体成分和温度测量范围来设计,在使用时也要根据被测对象进行选择。表1给出了针对几种气体在测量时应选择的测量波长。

对一些具有连续发射光谱的气体介质,如发光火焰,由于其中含有烟粒能发射连续光谱,也可以像测量固体温度时用宽谱带的辐射高温计测量。但大多数情况下是连续光谱和吸收光谱的叠加,情况比较复杂,还需要针对具体情况来定。
7・2间接测量法
当用红外温度计直接测量气体介质温度时,如果气体介质是透明的(针对红外温度计的测量波段而言),实际测量的是管道内衬表面的温度,由于其温度比被测介质温度低,将会导致测量误差,因此这种方法特别不适合水冷的壁面。这时可以在管道内安装一个特殊陶瓷材料制作的靶标,最好要求材料的发射率高,而热导率低,且该靶标做成中空结构,以增大对流换热面积,减小向壁面的导热。靶标一般放置在最高的气流温度和气流速度的位置,且远离壁面,使用辐射温度计对此靶标进行测量可以得到气流的温度。
将一定长度(一般长径比大于10)的空腔放在被测流体中达到热平衡,就可以利用光电(热电)探测器探测空腔感受的能量而测量介质温度,这种方法称为空腔黑体式温度测量方法。由于空腔可近似认为黑体,因此不受被测介质发射率的影响,是介于接触法和非接触法之间的方法,兼有两种方法的优点,如测量温度准确、安装使用方便、性价比高等,可以用于气体或液体内部温度的测量。
8结束语
综上所述,在使用接触法测量流体温度时,主要考虑如何减小导热误差、辐射误差、速度误差和动态误差等;在使用非接触辐射测温方法时,主要考虑发射率和测量波长的选择。总之,要综合考虑传感器与被测介质和环境的换热情况,根据测量的要求和特点,参照以上几类情况给出的原理分析和建议,合理设计和选用传感器和测量方法,实现温度的准确测量。
摘自:中国计量测控网







