首页>技术中心>技术资讯>电子经纬仪一测回水平方向标准偏差测量结果不确定度分析
电子经纬仪一测回水平方向标准偏差测量结果不确定度分析
发布时间:2017-09-01
一、概述
依据JJG100-2003《全站型电子速测仪检定规程》,在温度为(20±10)℃、检定室干燥洁净、检定装置稳定、无震动影响的测量环境条件下,对Ⅱ、Ⅲ、Ⅳ级电子经纬仪一测回水平方向标准偏差测量结果不确定度进行评定。
1.测量标准(见表1)

<CTSM> 表1</CTSM>
2.测量方法
用多齿分度台(391或552齿)与平行光管组成的装置检定电子经纬仪一测回水平方向标准偏差,检定中,往测时多齿分度台逆时针旋转,返测时多齿分度台顺时针旋转。往返测为一个测回,具体检定方法如下:
置多齿分度台于零位,照准平行光管目标,水平度盘读数置零,顺时针方向旋转1周,照准平行光管目标,盘左读数两次,多齿分度台则按预先布点逆时针方向旋转,直至第2检定位置,顺时针方向旋转并照准平行光管目标,盘左读数两次。以同样的方法检定直至n位置,最后回到零位。
翻转望远镜180°,逆时针方向旋转照准部,照准目标后盘右两次读数,顺时针方向转动多齿分度台到第2检定位置,电子经纬仪照准部以逆时针方向旋转照准部,照准目标进行第2位置检定。同样方法检定直到n位置,直至回归零位。
3.电子经纬仪各等级测回数及受检点数
Ⅱ级测回数为2,受检点数为12;Ⅲ、Ⅳ级测回数为1,受检点数为12。
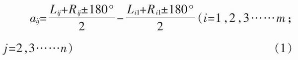
二、测量模型
依据JJG100-2003,在第i回观测中,目标j相对于目标1的角度为

式中:Lij、Rij――目标j在第i测回的盘左、盘右读数;Li1、Ri1――目标1在第i测回的盘左、盘右读数
。
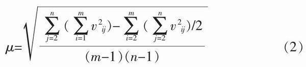
一测回水平方向标准偏差:

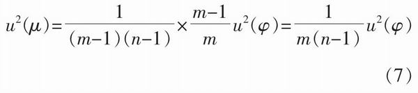
式中:m――测回数;n――照准目标数。
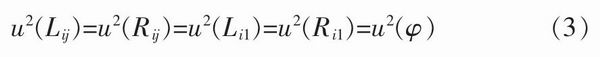
三、方差与传播系数
1.由于每个方向都是等精度测量,所以它们的标准偏差相等,设为u(φ),即

则由式(1)知:
由
求方差得:

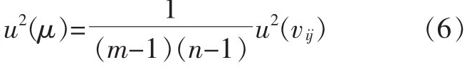
由式(2)得:
由式(5)和式(4)得:

由上得,传播系数c为:
2.对于Ⅱ级电子经纬仪,m=2,n=12,则其方差传播公式为:
;而对于Ⅲ、Ⅳ级电子经
纬仪,m=1,n=12,则其方差传播公式为:
四、计算一测回水平方向标准偏差测量结果的标准不确定度分量
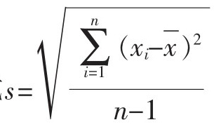
1.由目标读数测量值重复性引入的不确定度分量
目标读数测量重复性包括多齿台测量重复性、读数的估读误差实验数据和实验结果,如表2所示(测量点为78°15′39.1″)。

<CTSM> 表2</CTSM>
由贝塞尔公式
,在经纬仪检定中,目标读数为两次测量平均值,则:
,结
果如表3所示。

<CTSM> 表3</CTSM>
2.经纬仪检定装置标准值引入的不确定度分量
由于参与经纬仪检定结果处理的标准角值没有进行修正,根据经纬仪检定装置计量检定证书,水平、竖角目标定位重复性结果的扩展不确定度U=0.1″,k=2,故u2=0.1″/2=0.05″。
3.经纬仪安置误差引入的不确定度分量
在安置经纬仪时,竖轴铅垂,但是仪器精确安置水平后,经纬仪竖轴仍存在微小倾斜。竖轴倾斜误差s同样会产生纵向倾斜和横向倾斜两个分量。望远镜视准轴处于水平方向时,竖轴的倾斜对水平角测量结果的影响可忽略不计,但随望远镜视准轴俯仰范围的增大,竖轴的倾斜对水平角的测量结果影响也将增大。一测回水平方向标准偏差的检定,视准轴位于水平方向,所以该不确定度分量可以忽略。
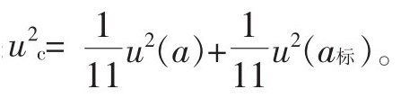
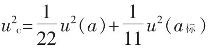
五、合成标准不确定度
依据Ⅱ级、Ⅲ、Ⅳ级电子经纬仪其方差传播公式,可得到如表4所示的结果。进而可得到如表5所示的结果。

<CTSM> 表4</CTSM>

<CTSM> 表5</CTSM>







