首页>技术中心>技术资讯>医用数字摄影(CR、DR)系统X射线辐射源空气比释动能测量不确定度分析与评定
医用数字摄影(CR、DR)系统X射线辐射源空气比释动能测量不确定度分析与评定
发布时间:2017-09-01
医用数字摄影(CR、DR)系统X射线辐射源是一种医院临床诊断用的强制检定计量器具。评估CR、DR的安全性和有效性对保证患者和医务工作者的生命健康安全有着非常重要的意义。而CR、DR最重要的安全指标就是空气比释动能。因此,分析与评定CR、DR空气比释动能的测量不确定度十分必要。
一、检定依据与测量模型
本文选用RS2000C型号的诊断水平剂量仪和100mm长杆电离室,依据JJG1078-2012《医用数字摄影(CR、DR)系统X射线辐射源检定规程》和JJF1059.1-2012《测量不确定度评定与表示》的要求,对医用数字摄影(CR、DR)系统X射线辐射源空气比释动能的测量不确定度进行分析与评定。
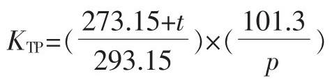
根据JJG1078-2012,有![]()
式中:――诊断水平剂量计3次测量的平均值,mGy;N――电离室或半导体探测器空气比释动能的校准因子;KTP――电离室型探测器温度、气压密度修正。
其计算公式为

式中:t――检定时室内温度,℃;p――检定时大气压,kPa。

二、计算分量标准不确定度
1.电离量放置距离偏差引入的不确定度分量u(M)
在SID=100cm时,假设有1%误差,则测量位置的相对不确定度urel(d)=1.0%。设服从正态分布,取包含因子k=3,因此相对半宽a=kurel=3.0%,则放置位置的偏差引入的相对标准不确定度为

2.标准装置校准因子的不确定度分量u(N)
本套装置检定证书给出剂量仪的校准因子相对扩展不确定度为5%,k=2,因此相对半宽a=5%,则剂量仪的能量响应变化引入的相对标准不确定度为

3.温度表示值误差引起的不确定度分量u(t)
检定时室内温度波动和不均匀会导致剂量仪探头与室内平均温度产生偏差,一般估计为±0.1℃,因此相对半宽a=1/293.15=0.34%,按服从均匀分布,取包含因子,则由温度波动和不均匀引入的相对标准不确定度为

4.气压表示值误差引起的不确定度分量u(p)
根据经验检定时室内气压最大变化一般不超过±0.3kPa,因此相对半宽a=0.3/101.3=0.30%,设服从均匀分布,取包含因子,则由检定时室内气压变化引入的相对标准不确定度为

5.重复性测量引入的相对标准不确定度分量u(重)
u(重)采用A类方法进行评定,是在确定的实验室环境条件下,通过多次测量获得。此例多次测量的结果如表1所示。由表1通过贝赛尔公式求得s=0.0029mGy,采用算术平均值作为测量结果,则测量重复性引入的相对标准不确定度为
,则重复测量带来的相对标准不确定度u(重)=0.1%。

<CTSM> 表1 重复性测量结果</CTSM>
三、不确定度分量表(见表2)

<CTSM> 表2 不确定度分量一览表</CTSM>
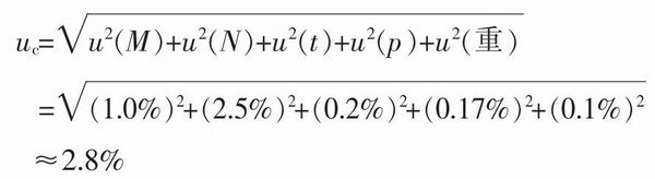
四、合成标准不确定度uc
以上各输入量互不相关,故合成相对标准不确定度为

五、相对扩展不确定度
U=2×uc=2×2.8%=5.6%(k=2)
六、测量不确定度的评定与表示
医用数字摄影(CR、DR)系统X射线辐射源空气比释动能的测量结果相对扩展不确定度为5.6%,k=2。







