首页>技术中心>技术资讯>论《方箱检定规程》中的测量不确定度评定问题
论《方箱检定规程》中的测量不确定度评定问题
发布时间:2017-09-01
一、模拟式仪表的估读误差分析问题
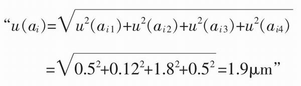
在JJG194-2007《方箱检定规程》“A.3.2测微表估读误差引起的标准不确定度分量u(ai2)的评定”中有:“由于测微表的分度值为1μm,所以其估读误差可认为是0.5μm,半宽为0.25μm。……测微表估读误差引起的标准不确定度u(ai2)为:u(ai2)=0.25/2=0.12μm”。
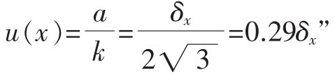
笔者认为模拟式仪表的估读误差分析,可以参考数字显示器的分辨力误差分析方法。JJG194-2007中此处的标准不确定度分析方法是有问题的,有案可稽的是以下权威的模式:在JJF1059.1-2012《测量不确定度评定与表示》的4.3.3.4条款【注】之f)的注5的例中有:“若数字显示器的分辨力为δx,由分辨力导致的标准不确定度分量u(x)采用B类评定,则区间半宽度为a=δx/2,假设可能值在区间内为均匀分布,查表得k=,因此由分辨力导致的标准不确定度分量u(x)为:
。即:假如数字显示器的分辨力为δx=1μm,则由分辨力导致的标准不确定度u(x)=0.29μm。同为1μm分辨力的模拟式仪表的估读误差引起的标准不确定度不可能小于之。
【注】JJG194-2007适时对应的是JJF1059-1999版的5.9条款:“对于数字显示式测量仪器,如其分辨力为δx,则由此带来的标准不确定度为:u(x)=0.29δx”。
二、合成不确定度中某些分量的取、舍与合理性问题
在“A.3输入量ai的标准不确定度u(ai)的评定”中有:“观察值ai的不确定度来源主要有:①测微表示值误差引起的标准不确定度分量u(ai1);②测微表的估读误差引起的标准不确定度分量u(ai2);③平板平面度引起的标准不确定度分量u(ai3);④圆柱直线度误差引起的标准不确定度分量u(ai4)”。
在JJG194-2007的测量不确定度评定分析中,缺少一个极其重要的组成部分/分量,即A类评定中的重复性测量误差。当然该分量并非缺之不可,但前提是要作如下比较,才能理性地决定取舍。根据JJF1033-2008《计量标准考核规范》附录C.1.4中的表述:“被测仪器的分辨力也会对重复性测量有影响。在不确定度评定中,当重复性引入的不确定度分量大于被测仪器的分辨力所引入的不确定度分量时,可以不考虑分辨力所引入的不确定度分量。当重复性引入的不确定度分量小于被测仪器的分辨力所引入的不确定度分量时,应该用分辨力引入的不确定度分量代替重复性分量。”
JJG194-2007的附录A名曰“方箱垂直度测量结果不确定度评定”,却自始至终对“测量结果”避而不谈,直接以4个分量中最小、完全可忽略不计的0.12μm的测微表估读误差引起的标准不确定度取代了重复性测量误差,其可行性、合理性令人疑惑。接着,在“A.3.5输入量ai的不确定度u(ai)的计算”中有:

由此可见,相当于合成不确定度的u(ai)是由以上4个分量合成的,且第三分量――平板平面度引起的标准不确定度分量u(ai3)为主要因素,占总量的94.7%!其余的3个分量都微不足道。但是,经过以下分析和计算,情况却发生了截然相反的转变。
三、莫名其妙的表述问题
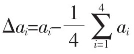
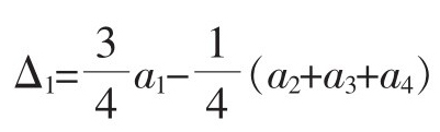
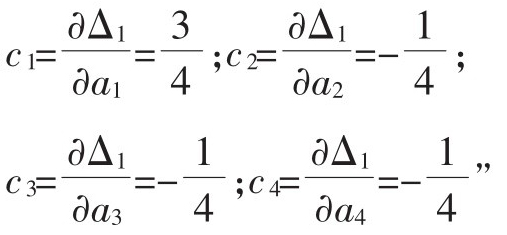
在“表A.1标准不确定度汇总表”中出现了4个完全一模一样的“不确定度来源”:“测微表示值误差、测微表的估读误差、平板平面度、圆柱直线度误差”,且各自的“标准不确定度值u(ai)”均为完全相同的1.9μm。经过此绝无仅有的表达和计算,合成标准不确定度演化为:
由该第二次的合成不确定度计算公式可见,第一分量u(a1)占总量的87.5%。由于“不确定度来源”中的各分量均为相同的4项误差,故已无法确定为具体的某因素,但按序应认为是由示值最大允许误差仅为±1μm的测微表引起的标准不确定度分量,莫名地转变为主要因素;而原来极大的第三分量却显著变小,并与另外两个分量无丝毫差别。
四、测量模型和灵敏系数的问题
之所以JJG194-2007得出以上错误的计算结果,完全是因为“A.4合成标准不确定度评定”以下的问题所致。
在“A.4.1灵敏系数”中有:“测量模型:

对某一工作面的垂直度有:

灵敏系数:
此所谓的“某一工作面的垂直度”,其实是对特定的第一只角(比如左上角)测量误差的另类计算公式。明摆的简单明了的数学模型(下面另有评价)不用,非得用此繁琐的计算公式,典型的“避易就难”。由于此另类计算公式不具有代表性,并且还可衍生出另有的3个角(依次为左下、右下和右上角)的测量误差计算公式,分别为
因此可得出各不相同的灵敏系数。正是由于该多此一举的“节外生枝”问题,所以产生了如上一系列的错误,并导致以下的结论性问题。
这样以下的数据处理就相当简单了。因残差计算式的灵敏系数的绝对值均等于1,故直接可以由A.3.5求得u(ai)=1.9μm(排除u(ai2)等的问题),得出垂直度扩展不确定度为:U=3.8μm(k=2)。当然,这里存在一个同样的问题:由平板的平面度误差引起的标准不确定度分量u(ai3)究竟应该如何分析?是否确实有这么大?笔者认为:平板是测量方箱垂直度时的平面基准器具。作为标准,在分析由平面度对垂直度的影响而引起的不确定度时,是否可以考虑以相应平板的测量不确定度作为依据值得商榷。比如,以量块为标准,在分析其测量不确定度时,一般都不直接以量块相应规格、级别的“长度极限偏差”作为依据,而普遍都以量块相应等别的“长度测量不确定度允许值的计算公式”作为依据。
五、JJG194-2007的结论性问题
JJG194-2007以边长250mm的1级方箱(相应的垂直度允许误差为10μm)为例,最终得出:“垂直度扩展不确定度为:U=3.2μm,满足U≤1/3垂直度要求。证明本规程用圆周封闭法测量方箱垂直度误差的检定方法是科学、合理、可行的。”
该似是而非的结论是经不起推敲的。原因:测量不确定度评定中仅有的4个分量,无一是与被测量方箱的规格/边长有关的变量,换言之:该4个分量都是不随被测量方箱的边长而以一定关系变化的固定常数。即JJG194-2007中列举的6种方箱规格:边长分别为100mm、160mm、200mm、250mm、315mm和400mm(对应的垂直度允许误差分别为7μm、8μm、9μm、10μm、11μm和13μm),它们的垂直度扩展不确定度均应为不变的U=3.2μm,这对于边长≤200mm的方箱,并不满足U≤1/3垂直度的要求。显然,JJG194-2007疏忽了这一问题。
解决该问题的方法,笔者认为大致可以有以下3种方案:
(1)增加重复性测量误差,删去测微表估读误差。根据经验,重复性测量误差与被测量的规格大小成正比关系,却与被测量的级别高低成反比关系,是为普遍规律。
(2)应该选用更高级别的00级平板,JJG194-2007适时的《平板检定规程》为2005版,JJG194-2007中规定的400mm×600mm,在2005版《平板检定规程》中规定00级平板的平面度最大允许误差为3.5μm。于是u(ai3)=0.875μm,则
1.13μm, U=2.3μ
m,可保无虞。至此,不得不再提示一点:选用400mm×600mm平板作为方箱的平面基准器具,其平面的面积似乎局促了些。
(3)适当、合理地放大方箱工作面的垂直度误差要求。
六、数据处理的准确度问题
JJG194-2007最终得出的结果U=3.2μm,两位有效数据,其间数据处理过程中也只有1~2个有效数据,是不合理的,理应多保留1位,这是基本常识。
七、结束语
JJG194-2007中的附录A“方箱垂直度测量结果不确定度评定”,存在的问题是显而易见的。JJG194-2007“A.7结论”中的有关叙述,是经不起科学推敲的,其合理、可行性自然当受质疑。







