铁磁共振参数标准样品的研制
发布时间:2017-09-01
微波铁磁器件广泛应用于雷达、通信、导航、电子对抗、导弹制导、航空航天、深空探测及精密测量等系统中,是现代微波电子设备不可缺少的基本元器件,这些应用中的关键参数是共振参数,共振参数的准确测量决定了这些应用质量。遗憾的是共振参数的量值溯源一直未能解决。
笔者提出了采用铁磁标准样品建立量值溯源的方案,经小范围运作,效果良好,共振线宽扩展测量不确定度小于20%,可满足科研和生产需要。课题的关键技术之一是研制一套性能稳定、线宽重复性好、覆盖范围为(0.25~6.28)A/m的铁磁标样。
一、铁磁共振理论
铁磁物质的磁性来源于原子磁矩。铁磁性物质中电子的自旋交换作用形成磁有序,其内部形成许多磁矩取向一致的微小自发磁化区(俗称“磁畴”)。平时“磁畴”的排列方向是混乱的,所以对外不显磁性。在足够强的外磁场作用下,“磁畴”的排列方向有序,显示出磁性。某些铁磁材料在直流磁场和微波电磁场的共同作用下显示出明显的铁磁共振现象,这在微波领域有重要应用。处于稳恒磁场和微波磁场H中的铁磁物质,它的微波磁感应强度B可表示为
B=μ0μijH(1)
式中:μij――张量磁导率;μ0――真空中的磁导率。

式中:μ、K――张量磁导率的元素。其中,μ为对角分量,K为反对角分量,用公式表示如下:
μ=μ′-jμ″ (3)
K=K′-jK″ (4)
μ、K的实部和虚部随B的变化曲线如图1(a)、1(b)所示。

<CTSM> 图1 变化曲线</CTSM>
μ′、K′在Bγ=ω0/γ处的数值和符号都剧烈变化,称为色散。此时,μ″、K′达到极大值,称为共振吸收,此现象即为铁磁共振。这里ω0为微波磁场的旋转频率,γ为铁磁物质的旋磁比。

式中:μB=he/2me=9.2741×10-24J・T-1,称为玻尔磁子;h=6.6262×10-34J・s,是普朗克常数;g为朗德因子(度量轨道磁矩和自旋磁矩相对于总磁矩的贡献)。
μ″定义为铁磁物质能的损耗,铁磁材料在频率为f0的微波磁场中,且加在铁磁材料样品上的稳恒磁场满足Bγ=B0=ω0/γ时,磁损耗最大。常用共振吸收线宽ΔB来描述铁磁物质的磁损耗大小。ΔB定义为μ″=0.5μm处对应的磁场间隔(B2-B1),即半高度宽度,如图2所示。

<CTSM> 图2 共振吸收线宽ΔB定义图</CTSM>
二、铁磁薄膜的磁损耗机理
铁磁薄膜在GHz频段的剩余损耗主要是自然共振损耗,在磁损耗中占很大的比重。
铁磁薄膜的磁损耗分为本征损耗和非本征损耗两类。本征损耗(也称Gilbert损耗)来源于物质最基本的性质,例如自旋轨道相互耦合作用、磁结构或晶格等;非本征损耗主要来源于样品内部的不均匀性。本征损耗是系统不可分割的一部分,来源于不可避免的因素,是不可被抑制的。而非本征损耗来源于物质的微观结构缺陷,强烈依赖于薄膜制备工艺,因此是可以被改变的。通过调整铁磁的各种损耗,可以获得需要的共振线宽值,满足铁磁标样覆盖范围的需要。
1.本征损耗
本征损耗来源于自旋-轨道耦合作用和自旋反转。微波电磁场的一致进动能量,通过自旋-轨道耦合和载流子直接传递给晶格,称为本征散射过程,如图3所示。对于金属薄膜的Gilbert损耗,最重要的贡献是通过磁子和声子由巡游传导电子的不连续散射引起的。

<CTSM> 图3 薄膜损耗机制示意图</CTSM>
另一个过程发生在铁磁性金属中。当磁化方向被改变时,费米面的形状也发生变化,因此,由于自旋轨道耦合的作用,一致进动将导致费米面周期性的变化。对于自旋-轨道耦合导致的弛豫,其阻尼系数a(GHz-1・S-1)的微观表达式为

式中:γ――铁磁物质的旋磁比,A/m-1・s-1;Ms――饱和磁化强度,emu/cm3;EF――费米能级,emu;g――朗德因子;τ――轨道弛豫时间,s;λ――自旋-轨道耦合系数。
从Gilbert本征损耗阻尼系数的微观表达式可以看出,对于金属中的阻尼自旋-轨道耦合是非常重要的,因为朗德因子取决于自旋角动量和轨道角动量的比值。所以,由此看出Gilbert损耗是物质本身的内禀属性,与磁结构或晶格等本身性质有关。由Gilbert本征损耗导致的线宽在磁谱和铁磁共振曲线上与微波频率呈线性关系,与样品的质量和外加磁场的大小没有直接关系。
2.非本征损耗
非本征损耗是指铁磁性物质中除了本征损耗外其他所有的磁损耗机制,主要有双磁子散射和非均匀散射。如图3所示,在双磁子散射过程中,具有波矢k=0的一致进动磁子被湮灭,然后产生一个k≠0的磁子,由于这是一个自旋-自旋弛豫过程,所以总的磁子数量没有改变。然而对于k≠0的磁子自旋不再互相平行,自旋一致进动通过这个过程将能量传递给自旋波,最终k≠0的自旋波将得到的能量转移到晶格。例如杂质、空洞、孔隙、非磁性相等,从一致进动到自旋波的散射才能产生,它们导致材料内部的电子自旋在微波场的微扰下无法保持一致进动,偏移原来的有序排列状态。
非本征损耗除了双磁子散射外,还有很多不均匀因素,如多磁相结构和不均匀性造成的弥散、颗粒尺寸的大小分布和界面与表面的粗糙度等也会产生散射作用,从而导致自旋波的衰减。在有些情况下这一部分的贡献要比Gilbert本征损耗大1~2个数量级,甚至还有可能超过双磁子散射的贡献。一般情况下,从铁磁共振和磁谱虚部共振峰的形状来看,Gilbert本征损耗和双磁子散射导致的共振峰曲线为洛伦兹型,而非均匀散射为高斯型,所以可以从形状上做一定的区分。
三、材料的选择与铁磁共振线宽的调整方法
由LLG方程和铁磁共振线宽的定义,可以得到对扫场模式的测量,其线宽与阻尼系数α的关系为

式中:ΔH――共振线宽,A/m;ΔH0――本征线宽,A/m;α――阻尼系数,GHz-1・s-1;f――微波频率,GHz;γ――铁磁物质的旋磁比,A/m-1・s-1。
从式(7)看出要改变共振线宽,就只能改变非本征线宽。测试频率是规定了的,对于确定的合金材料,γ系数也基本不变,只有通过改变阻尼系数才能改变线宽。标样的基本材料选用的是NiFe合金,通过以下方法来改变材料的阻尼系数。
1.改变材料配比获得不同阻尼系数
以Ni1-xFex合金薄膜为例说明。由于Fe的磁晶各向异性常数K1=+48.1×103J/m3,而Ni的磁晶各向异性常数K1=-5.48×103J/m3。通过适当的配比,比如x=20%左右,就可以获得磁晶各向异性常数接近于零的优异磁性材料,这就是工业界应用广泛的坡莫合金的配比。
在坡莫合金中,由于合金的有效磁晶各向异性接近于零,材料呈现各向同性,在良好的工艺情况下,坡莫合金呈现完美的立方结构,材料中不存在非本征的双磁子散射和非均匀散射,故而阻尼系数小,如图4所示。
随着Fe含量的增大,合金薄膜材料的磁晶各向异性常数越来越大,其非本征的双磁子散射和非均匀散射增加,阻尼系数越大,线宽也就越大,图4是试验结果,x为Fe在NiFe合金中的含量比。

<CTSM> 图4 Ni1-xFex的铁磁共振线宽和阻尼系数与x的关系</CTSM>
2.氧掺杂量可以改变阻尼系数
对NiFe合金薄膜,如果在溅射时通入适当的氧气,成膜成分为NiFe+(NiFe)1-xOX的混合物。混合物是两相磁性材料,这两相的共振峰靠得较近,因此共振线宽被拓宽。另外随着氧含量的增加,在材料中也会引入较多的缺陷,增加非本征双磁子散射和非均匀散射,线宽也就越大。较大的线宽所需的外磁场越强,即谐振点的磁场强度也就越大(见图5)。通过掺杂,可以获得大的谐振点和大的线宽。

<CTSM> 图5 NiFe氧掺杂量与阻尼系数和磁化强度的关系</CTSM>
3.利用底层形貌与自旋泵浦效应结合改变共振线宽
利用超高真空磁控溅射制备Ni81Fe19/CuNx异质薄膜,改变氮气分压从0到20%制备不同的氮化铜薄膜。测试结果表明,覆盖不同氮气分压沉积的氮化铜的Ni81Fe19/CuNx体系饱和磁化强度和矫顽力等静态磁参数并没有区别,然而,覆盖不同氮气分压下CuNx薄膜对铁磁共振线宽和阻尼因子有显著影响,基于底层形貌和自旋泵浦模型可对磁阻尼系数的变化趋势进行合理解释。图6是试验结果。

<CTSM> 图6 底层形貌与自旋泵浦效应结合改变NiFe合金的阻尼系数</CTSM>
四、铁磁薄膜样品的制备
根据理论分析结果,笔者设计并制备了多种铁磁样品,经测量后修改配比、氧掺杂和形貌再次制作。经过多次的设计-制备-测量-修改的循环,最终研制出一批线宽范围为(0.125~6.28)A/m的样品。经高温老化及反复磁化稳定后,得到一批合乎要求的铁磁共振参数标准样片。
五、实验数据
由于铁磁材料存在磁滞效应,扫场测量时的扫场测量范围对共振点和共振线宽影响较大。为了保证样片共振参数的一致性,严格给定样品的测试频率、扫场范围和拟合分析磁场范围,而且必须从高到低进行扫场。
按规定的测试条件和分析磁场范围,实验室1(Lab1)对样品的线宽进行重复性试验。实验每天进行一组,每组重复10次。共进行5组(5天)实验,每组实验都重新装卸样品,并于系统校准后进行测量,以考核实际量值传递过程的重复性。实验结果见表1的“uA”栏,显然uA小于标准样品允差(±20%)的1/3,满足标样要求的重复性。uA值采用合并样本标准偏差sp估算,即

式中:sj――第j组的10次重复测量标准偏差;xji――第j组的i次测量数据;――第j组的10次测量平均值;n――组内重复测量次数,10;uA――用A类评定方法获得的不确定度分量;sp――共5组、每组10次重复测量的合并样本标准偏差;m――试验组数。
两个实验室对同一套样品进行测试,以考核实验室的测试能力。测试方法与实验室1相同,其结果平均值的差异见表1“差异”栏。显然,实验室间的差异值小于样品允差,表明实验室的测试系统符合要求,样品的变动性也符合要求。

<CTSM> 表1 线宽测试结果</CTSM>
六、均匀性检验
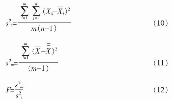
依据JJF1006-1994《一级标准物质技术规范》有关均匀性检验的指引,采用F检验法进行均匀性检验。F值的计算公式如下:

式中:――单元内方差;――单元间方差;n――每单元重复测量次数;m――检验抽取单元数;Xij――第i单元的第j次测量;――第i单元的n次测量平均值;Xi――全部m个单元的n次测量总平均值。
本文选用置信概率为95%(a=0.05)作为检验判据,则当检验结果F≤F〔a,(m-1),m(n-1)〕时,单元间方差与单元内方差无显著性差异,样品均匀;否则不均匀。
被检验样片为笔者于2012年6月6日制备的60mm×60mm、厚2mm的大样片(编号#0606),裁剪成4mm×4mm的225个小片中抽取的10个小片(单元),编号为S1~S10。每个小片(单元)测量5次,按F检验法判断样片的均匀性。检验结论为“均匀”,如表2所示。

<CTSM> 表 2#0606号样片均匀性检验结果</CTSM>
七、结束语
笔者提出的用标准铁磁样片作为标准物质通过共振线宽进行量值传递的方法,经理论与实验证实传递的不确定度达到科研和生产的需要,具有较好的应用前景。







