首页>技术中心>技术资讯>应用于数据采集监控系统的温湿度变送器的开发
应用于数据采集监控系统的温湿度变送器的开发
发布时间:2017-09-01
1变送器工作原理
总线式温湿度变送器原理如图1所示。变送器由主电路及接口电路两部分构成。接口电路上电工作,而主电路仅在该变送器被访问时才上电工作。总线为供电电源、下传地址巡检信号及上传温湿度信号所复用。其中电源为15~30V直流电压;下传信号为电压负脉冲,其中0.5ms宽用于寻址,5ms宽用于复位;上传信号为占空比及周期复合调制的10mA电流脉冲信号。专用采集器为嵌入单片机的智能设备,通过发出下传信号选通各变送器:当发出5ms宽的复位信号时选通第一个变送器,当发出0.5ms宽寻址信号时选通下一变送器。由于变送器地址不同,故实际只有一个变送器主电路工作。当一个变送器被选通后,总线上电压稳定下来,变送器输出的电流脉冲信号被采集器检测,计算出占空比及周期,进而换算出温度及湿度。

1.1主电路原理
电路原理如图2所示。由晶体管构成的5mA电流源经并联型参考源为主电路提供5V的参考电压。
温度传感器为以电流输出表示绝对温度的传感器AD590,灵敏度为1μA/K,AD590输出的电流经Rs转换成电压VT,设温度为T(℃),则

湿敏元件为高分子电容CH,容值约为80~120pF(0~100%RH)。
主电路为由JFET输入的低电压、运放U1构成的积分器及CMOS输出的回差比较器U2构成的积分振荡器。由于CMOS输出只存在输出电阻R0,故输出高低电平时可等效为Vr及零伏与R0串联。设U2输出高电平时间为TH,低电平时间为TL,根据电荷平衡原理,有

则输出脉冲占空比为

可见,占空比仅与VT和参考电压有关,因而电路对温度信号的变换具有很好的精度和稳定性。研究表明,这一电路输出的占空比与输入电压关系的线性度可达0.01%以上。
电路输出的低电平脉冲宽度为

式中C0为微调电容及CH引线等的分布电容,可见,负脉宽与湿敏电容成正比关系。
1.2接口电路原理
接口电路原理方框图如图3所示。低功耗稳压保持电路为CMOS数字电路提供稳定的电源。总线上的复位及寻址负脉冲经衰减限幅后通过脉宽鉴别电路分离出复位和寻址信号,再经消噪整形后控制计数器的复位和计数。当记数值与拨码开关设置的地址相同时,数据比较器输出信号将主电路接通工作。

2变送器信号处理
当专用采集器选通某变送器后,变送器输出的复合调制电流脉冲经分离、消噪、隔离后变成电压脉冲,通过单片机的定时器在占用CPU极少资源的情况下测出其正负脉宽TH及TL。下面分析如何由TH、TL计算温度及湿度。由式(1)及(2)可得

式中,根据式(4)可直接得到温度。测温精度主要由AD590决定,典型值为±0.5℃,故RS及Vr的精度应为0.1%。实际应用中可通过微调RS获得变送器温度与占空比关系的一致性。
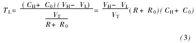
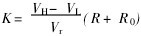
由式(3)可知,湿敏电容CH与TL成正比,但与VT也有关,而VT不是常数。由于占空比已先测出,η与TL作相乘处理得:

令
,K为常数,有

在己确定湿敏电容的相对湿度与容值关系的情况下,可直接算出相对湿度。由于湿度电容有较大的离散性,通常需标定来确定相对湿度与T′L的关系。变送器采用线性标定,低端选用LiCl饱和溶液平衡气湿度(11.7%RH),高端采用NaCl饱和溶液平衡气湿度(75.5%RH)。通过微调R和C0,使变送器在低端和高端输出的T′L分别为TL0和TL1,这样采集器通过简单插值运算即可求出相对湿度,即

3变送器主要技术指标测试及分析
3.1测量范围及精度
测温范围:-40~70℃,测温精度为±0.5℃;测湿范围:0~95%RH,测湿精度为±3%。测量范围及精度主要取决于所选用的敏感元件性能,其中测湿精度还与标定装置及标定过程有关,测湿误差由湿敏电容非线性、湿滞、漂移、湿度漂移及标定装置误差、标定过程湿度平衡误差等构成。
3.2总线连接点数
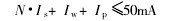
工作电压为7~30V,待机电流IS≤50μA,工作电流IW≤6mA,信号电流脉冲幅度IP=10mA±l0%,理论上,总线上可连接变送器最大数量N由下式决定

实测连接250只变送器或等效负载时能可靠工作。
3.3传输距离
由于总线中信号频率很低,研究表明总线末端无需匹配电阻,传输距离主要由总线的电压降及信号边沿的畸变决定。实验表明,在0.5mm2非屏蔽双绞线末端连接250个变送器或等效负载,且保证上传信号精度损失小于0.1%,总线长度可达2km。
3.4变送器采样速率
变送器采样周期由寻址时间和上传信号采集处理时间组成,其中寻址时间为1ms,信号采集时间决定于信号周期及采集周期数(数据处理与脉宽采集可同时进行)。本变送器输出信号周期约为1.5ms,采集器采集两个周期取平均,采集周期约为5ms,即连接200个变送器时,系统巡检周期仅约10秒。
4结束语
本文介绍的总线式温湿度变送器具有连接点数多,传输距离远,便于构成采集系统及价格低等优点,并己在仓储、蔬菜大棚等领域成功应用。使用中发现湿度标定仍较费时,而采用软件标定将数据存于采集器中就能保证变送器的互换性,为此我们正在开发内嵌MPU的智能变送器。
摘自:中国计量测控网







