首页>技术中心>技术资讯>新型标准铂电阻温度计检定装置锌/锡凝固点、水三相点的试验
新型标准铂电阻温度计检定装置锌/锡凝固点、水三相点的试验
发布时间:2017-11-22
黑龙江省电力科学研究院原成套标准铂电阻温度计检定装置系1978年产品,仪器设备年代久远,各项技术参数指标均不符合现行规程技术要求。为了使其在0~419. 527℃温度测量范围内与国际固定点复现接轨, 2003年初经过细致、周密的调研工作,于2004年初购进一套新型标准铂电阻温度计检定装置,其中包括英国生产的5840型数字自动显示电桥、国家计量院生产的MT-1型退火控温装置和MT-2型锌、锡凝固点定点控温装置,配备了一等标准铂电阻温度计,以及水三相点瓶等相关辅助设备,并在此期间重新制作了电阻随温度变化率的生成软件。
1锌凝固点装置的构成及其工作原理
1.1锌凝固点装置结构
该装置由锌点密封容器、锌点高精度定点炉和数显程序控温仪组成。锌点炉的结构如图1,炉壳内有两个瓷管,既外瓷管和内瓷管。外瓷管和外壳之间装有绝缘耐高温材料珍珠岩、石墨;内瓷管绕有加热丝,功率一般为1. 5~2 kW,内瓷管里有一个铜套,铜套里是石英玻璃杯和石墨坩埚,坩埚内装有纯度为99. 999%的纯锌。为了防止热量散失,在石墨盖的上部顶端处,填充绝热材料。控温热电偶插在铜套和玻璃杯之间。炉中心处放入石英玻璃管,用于插放标准铂电阻温度计。
1.2工作原理
由MT-2型控温仪控制锌点炉,用K型热电偶做控温元件来控制整个定点炉升温、降温、恒温过程。当化学纯的液态锌插入石英棒诱导,自高温经过放热过程而冷却时,即温度与时间的关系曲线如图2。图中6、7、8段A、B、C部分是均匀液相的快速冷却过程,水平B、E是理论上的平衡相变过程,此时物质的温度不变,只是固相从液相经过冷过程后而结晶析出,即从液相变为固相的过程。B、E线上的温度为该物质的结晶(凝固)温度,实际上冷却曲线出现在B、C、D部分,这一部分的出现表示平衡相变前有过冷现象,一旦金属开始大量结晶后,系统的温度即恢复正常凝固点温度。因为对一物质来讲,它的凝固点就是它的熔点。

测试锌点电阻值RZn是在第8段D、E间凝固温坪实现的,最终经过两天RZn的复现,并测得在水三相点Rtp值,以求得WZn的值,即WZn=RZn/Rtp。

2锡凝固点装置的构成及其工作原理
2.1锡凝固点装置结构
锡凝固点装置由锡点密封容器、锡点高精度定点炉和数显程序控温仪组成。锡点炉结构和锌点炉大致相同,只是石墨坩埚内改为放置高纯锡。
原配套装置水沸点测温炉,由于水沸点的测量受到压力测量精度的影响,所以在新的国际温标中,水沸点被取消而改为用锡凝固点来复现,在IPTS-68国际温标手册中给出了锡固态和液态平衡温度t=231. 968℃。但在使用标准铂电阻温度计测温时,其计算公式应用了水沸点的数据,所以用与测WZn相同的方法测得锡点的WSn值后,还要换算到水沸点的W100值。
由WSn换算到W100的公式为W100=1+0. 734 300 3(WSn-1)-0. 167 562 0(WSn-1)
2.2工作原理
锡点测温原理、方法与锌点相同,只是由于液态锡过冷度较大,过冷过程须插入钢棒过冷降温,故须经过稍长时间等待温坪出现再进行测量。锡点温度比锌点低很多,其复现性和稳定性一般均比锌点好。
3装置的技术性能测试
3.1重复性测试
调整控温仪,使定点炉升温,使锌完全熔化,并将炉温控制在使容器内部比凝固点高出2~3℃,使炉温稳定一段时间,在10 min内温度变化不超过0. 2 K,然后使熔锌以0. 15 K/min的速率降温。当插在容器中的电阻温度计的电阻值停止下降并回升时,取出温度计用石英管进行诱导,然后将温度计再次插入,同时将炉温控制在比凝固点低2~3℃范围内,温度计达平衡后,即开始测量其重复性,在10 min内,选取6个电阻值最大偏差读数,并重复测试,其结果均符合规程要求。
3.2各炉体温场稳定性测试
3. 2. 1锌凝固点炉温场测试过程及结论
调整控温仪,使定点炉升温,使锌完全熔化,并将炉温控制在使容器内部比凝固点高出2~3℃,使炉温稳定,两小时后开始检测温场,可用标准铂电阻温度计或S型、R型热电偶来检测温场(该装置测试用标准铂电阻温度计进行测试),测量仪表采用英国产5840D型数字自动显示电桥。将温度计先插放到容器低部,再逐渐向上提升,上提测量位置在0~180 mm范围,分别选取0、50、100、150、180 mm位置,每隔一分钟完成一次记录,然后以相同方法再依次下降到底部。在每个位置取上提和下插两次测量值的平均值,作为该位置的测量结果,其结果均符合规程要求。
规程要求锌点炉的垂直温场,从锌点容器中心底部起180 mm范围内,任意两点间温差不超过0. 8 K。
3. 2. 2锡凝固点炉温场测试过程及结论
锡凝固点温场测试过程与锌点炉温场测试过程相同。其温场测试结果符合规程要求,规程要求锡点炉的垂直温场,从锌点熔器中心底部起180 mm范围内,任意两点间温差不超过0. 7 K。
3. 2. 3退火炉温场测试过程及结论
由MT-1型控温仪控制退火炉,测量过程基本与锌点炉温场测试过程相同,只是测量范围在0~100 mm范围,温度逐渐升高至退火温度,常用温度为420℃或600℃左右。根据常用温度计感温元件结构不同而定义的温度点不同,石英骨架的电阻温度计退火温度在550~600℃之间,螺旋式的电阻温度计退火温度在420℃附近等。
退火炉温场测试结果符合规程要求,规程要求退火炉在放置感温元件100 mm范围,轴相最大温差不超过1 K。
3.3比对测试结论
采用上级比对方法,用该装置测试一等标准铂电阻温度计测试结论并作以记录,再与上级检定机构测试结论相比较。
比对结果判定依据:E=|X1-X2|
式中,X1为该装置测量的数值;X2为上级检定机构测量的证书值。
经试验测试,比对的测试结果符合规程要求。
4标准铂电阻温度计数据处理计算软件的生成
由Delphi5. 0编制程序软件来实现检定数据处理过程,采用国际温标使用的一组定义固定点和参考函数以及相应的差值函数内插公式。
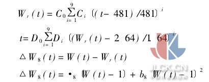
在0~419. 527℃温区内,温度t由下列公式确定:

根据温度计实际测量数据平均值Rtp、RZn、RSn推算出WSn、WZn;又根据WSn、WZn、推算出W100、α8、b8以及WGα,系列数据生成由程序软件来实现。经过与国家计量院测试结论相比对,数据完全一致。
5结束语
经多次试验验证,新型标准铂电阻温度计检定装置温场,重复性比对等相关性能测试均符合规程的技术要求,它为今后计量检定传递工作更为准确、可靠,奠定了坚实基础。
摘自:中国计量测控网







