首页>技术中心>技术资讯>JJG1114-2015《液化天然气加气机检定规程》解读
JJG1114-2015《液化天然气加气机检定规程》解读
发布时间:2017-11-22
一、引言
液化天然气(LNG)加气机为近年来新出现的超低温计量器具,其产品涉及低温设备的安全检测和贸易结算的公平性,只有强制达到通用技术、计量性能等要求,才有可能满足安全防护、贸易结算等方面的使用要求。目前,全国已有上百家LNG加气机生产企业,已有近3千座LNG加气站投入使用,有约20万辆LNG汽车投入运营。但由于加气机目前尚无颁布的国家计量检定规程,我国各质监技术机构无技术依据对其开展现场计量监督工作,这对于贸易交接的公平性来说是严重的问题。因此有必要制定LNG加气机国家计量检定规程,以更好地规范加气机的生产和计量监督工作,以促进LNG加气机产业的发展。
根据国家质检总局的工作安排,规程起草小组历时4年时间,终于完成了该规程的制定。JJG1114-2015《液化天然气加气机检定规程》于2015年6月15日发布,并自2015年9月15日起实施。
二、主要内容解析
1.引言
JJG1114-2015为首次制定和发布。规程以GB50156《汽车加油站加气站设计与施工规范》、GB/T20368《液化天然气(LNG)生产、储存和装运》、GB/T25986《汽车用液化天然气加注装置》以及国际法制计量组织(OIML)的国际建议R81:2006(E)《低温液体的动态测量设备及系统》(Dynamic measuring devices and systems for cryogenic liquids)为技术依据,结合我国LNG加气机行业现状和技术水平制定。本规程在主要的技术指标上与国际建议、国家标准等效。
2.范围
JJG1114-2015适用于液化天然气(LNG)加气机(以下简称“加气机”)的首次检定、后续检定和使用中检查。加气机生产厂家也可参照本规程内容开展产品的出厂检验。
3.术语和计量单位
(1)加气机
加气机提供LNG加注服务,一般由低温流量计、调节阀、加气枪、回气枪、加气软管、回气软管以及电子计控器、辅助装置等组成一个完整的液化天然气累积量测量系统。JJG1114-2015中规定加气机名称为液化天然气(LNG)加气机。本规程实施后,LNG加液机、LNG加注机等不规范的名称不能再使用。
(2)低温流量计
加气机中用于测量低温液化气体(介质温度一般≤-100℃,如液氮、LNG等)的流量计。包括测量加气量的液相流量计和用于测量回气量的气相流量计。加气机中的低温流量计种类包含科里奥利质量流量计、差压流量计等多种类型可用于测量低温液化气体的流量计。
(3)标准表法低温液体流量标准装置
以低温液化气体(如液氮或LNG)为试验介质,在相同的时间间隔内连续通过标准流量计和被检流量计,用比较的方法确定被检流量计的计量性能的流量标准装置。装置一般由流体源、试验管路系统、标准流量计、流量调节阀以及辅助设备等组成。考虑到干扰影响、LNG现场排放、安全防护、环境污染等因素,加气机的现场检定通常采用标准表法低温液体流量标准装置,即LNG加气机检定装置。
(4)计量单位
加气机中采用千克为唯一的质量单位,符号为kg;采用千克每立方米为唯一的密度单位,符号为kg/m3;加气机中采用千克每分钟为唯一的流量单位,符号为kg/min。
4.构造及原理
用于贸易结算的加气机,回气管路必须安装气相流量计用于计量回收的储气容器余气。加气机在加注前或者加注过程中,可以根据现场情况,回收用户储气容器的余气。随着加气站建站技术标准的提高,回收的余气也可充分利用。为了体现公平贸易和环境保护的原则,按照规程要求,用于贸易结算的只有液相流量计的加气机必须进行改造,加装气相流量计用于计量回收的储气容器余气;不用于贸易结算的只有液相流量计的加气机可以不强制改造。
5.计量性能要求
(1)最大允许误差和重复性
加气机的最大允许误差为±1.5%,测量重复性不超过0.5%。汇总全国主要生产厂家的技术资料,加气机铭牌标注的最大允许误差普遍为±1.0%和±1.5%,通过试验验证,99%以上的加气机均能满足±1.5%的要求。同时参照国际建议,国外加气机最大允许误差普遍为±1.5%和±2.0%,考虑到我国民生计量的现实情况,加气机的最大允许误差最终确定为±1.5%。目前,铭牌标注最大允许误差为±1.0%的加气机,经检定合格后,也只能出具符合MPE±1.5%的检定证书。
(2)流量范围
加气机的质量流量≤80kg/min,量程比不小于4∶1。通过汇总全国主要加气机生产厂家的技术资料可知,加气机铭牌标注的流量范围普遍≤80kg/min;通过试验验证,95%以上的加气机现场实际流量范围为(20~70)kg/min。同时低温引起的气化现象使得量程比不可能大。目前,铭牌标注质量流量超过80kg/min的加气机,经检定合格后,也只能出具质量流量为(10~80)kg/min的加气机的检定证书。
(3)最小质量变量
加气机的最小质量变量应不大于0.01kg,即加气机的显示面板上的质量指示值不少于两位小数。
(4)付费金额误差
加气机显示面板的付费金额只能小于或等于面板上单价和示值的乘积。由于有效数字的原因,显示面板的付费金额与单价和示值的乘积有可能不一致。
6.通用技术要求
(1)低温流量计
加气机所用的低温流量计应铭牌清晰、标识齐全,计量准确度等级不低于0.5级,流量范围、温度范围、压力范围、使用介质等应符合加气机使用要求。目前,加气机采用的低温流量计计量准确度等级通常为0.15级或0.2级。
(2)误差调整和封印设置
由于加气机存在循环流程等特殊的工作原理,规程中明确规定误差调整装置或关键部件应配备带机械封印的防护装置,如低温流量计、电子计控器、流量系数调整设备接口处、预冷旁通管路上的控制阀等。当机械封印不能阻止对测量结果有影响的重要参数被更改时,应施加电子封印。为确保加气机的参数不能随意被更改,技术机构应对加气机的计量误差调整功能和封印设置进行有效监管。
(3)密封性
加气机在检定现场最大工作压力下保持5min,加气机及附属装置各部件连接处,不允许泄漏现象发生。
(4)紧急停机装置
加气机应具备紧急停机功能。紧急停机装置设在加气机明显位置并标示其功能,同时具有保护措施,防止误动作。紧急信号触发后,应经人工确认后才能复位。
(5)拉断阀
考虑到可能存在汽车加气时忘记拔下加气枪或回气枪就行驶的情况,规程中规定加气机的加气软管和回气软管上都应配备拉断阀,在额定拉脱力作用下可以断开成两段。本规程实施后,没有在加气软管和回气软管上配备拉断阀的加气机,须改造为满足本规程要求的加气机。
7.计量器具控制
(1)检定装置
标准表法低温液体流量标准装置(液化天然气(LNG)加气机检定装置,以下简称“检定装置”)的扩展不确定度应不大于被检加气机最大允许误差绝对值的1/3。目前广泛使用的检定装置的扩展不确定度为U=0.3%(k=2)。同时检定装置应配备有效的校准证书,并满足防爆要求,具备有效期内的防爆合格证;主标准器为低温流量计,应配备有效的检定证书,其准确度等级不低于0.15级,压力范围和流量范围应与被检加气机相适应;检定装置辅助装置(压力表、安全阀等)应具备有效期内的检定证书或检测报告。检定装置还需通过建标考核,取得计量标准考核证书和社会公用计量标准证书方可开展检定工作。
(2)检定项目
首次检定、后续检定、使用中检查的项目如表1所示。

<CTSM> 表1 首次检定、后续检定、使用中检查的项目 注:“+”表示需检定或检查;“-”表示不必检定或检查。</CTSM>
(3)流量调节
检定流量点q1和q2、实际流量范围及最大允许误差如表2所示。规程中对流量范围数值的确定,是经过理论计算和试验结合以及参照加气站实际运营情况,综合考虑后确定的,体现了规程实施的可行性和经济性。LNG加气站都配备有大容量LNG储气容器,因此加气机的实际加注流量一般在1~2天内基本保持相对稳定值。同时,加气站由于运营管理、安全等因素,一般不允许频繁调节加气机的加气流量,因此,现场可通过调整加气站低温泵输出压力或降低LNG储罐内压力、检定装置加气管路末端处安装调节阀等多种方式实现对加气机加注流量的调节。加气机更小流量点的检定,将在加气机的型式评价大纲中详细规定。

<CTSM> 表2 检定流量点、实际流量范围及最大允许误差</CTSM>
(4)安全防护
检定完毕后的气体泄放应符合GB/T20368和GB50156中天然气放散的规定。检定人员应遵守被检单位安全管理制度(如消除火种火源并准备灭火器具等)。检定时应使用防冲击面罩或安全护目镜以保护面部,佩戴具有低温防护功能的皮手套或胶手套。每次加气前,应使用压缩空气或氮气吹扫加气枪、加气口、回气枪和回气口等易结霜部件表面。
(5)检定步骤
检定装置应可靠接地,通电预热时间不少于30min。加气机和检定装置进行循环流程:将加气机与检定装置采用快装方式相串接,加气机的加气枪插到检定装置的加气口上,检定装置的加气枪插到加气机的循环口上(见图1),开启加气机加气,期间观察检定装置显示的LNG流体状态参数(流量、温度、密度等),同时调整流量。当观察到循环流程的流量值满足某流量点对应的实际流量范围,且满足温度、密度等检定条件时,在流量点q1和q2至少完成3次液相流量计单独检定,即加气机不连接回气管路,直接循环加气完成液相流量计单独检定。

<CTSM> 图1 循环流程(液相流量计单独检定)原理图</CTSM>
完成液相流量计单独检定后,在流量点q1至少完成3次加气机整机检定。检定前根据现场需要将检定装置与储气容器采用快装方式相串接,检定装置的回气枪插到储气容器的回气口上,加气机的回气枪插到检定装置的回气口上,回收储气容器的余气。回收余气结束后,按图2的方式将加气机的加气枪插到检定装置的加气口上,检定装置的加气枪插到储气容器的加气口上,其余连接不变。用检定装置完成加气机整机检定。LNG依次流经加气机和检定装置,最后加注入储气容器。加注过程中,少量回气从储气容器经回气管路的气相流量计计量后返回加气站LNG储罐。

<CTSM> 图2 整机检定原理图</CTSM>
(6)数据采集
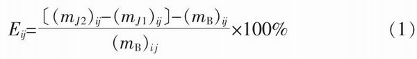
采用检定装置对加气机检定时,考虑到要尽量减少数据采集系统不同步带来的不确定度分量,单次检定时需进行3次数据采集,每次间隔约1min,因此规定加气机单次连续加注时间不应少于3min。数据采集采用照相的方式,当检定装置显示的LNG流体状态参数(流量、温度、密度等)满足检定条件时,对某时刻加气机面板显示的累积流量示值进行数据采集,至少间隔1min后,再次采集数据,将前后两次数据采集的累积流量示值之差与同步时间内检定装置的累积流量示值进行比较。动态法主要检测加气机中间加气过程的计量性能,静态法检测加气机加气全过程的计量性能,推荐采用动态法,加气机的单次测量示值相对误差Eij。即

式中:Eij――qi流量点第j次测量的单次示值相对误差,%;(mJ1)ij――qi流量点第j次测量时第一次数据采集的加气机累积流量示值,kg;(mJ2)ij――qi流量点第j次测量时第二次数据采集的加气机累积流量示值,kg;(mB)ij――qi流量点同步时间内检定装置的累积流量示值,kg。
(7)误差计算
式中:Ei――qi流量点的示值误差,%;n――测量次数,n=3。
qi流量点3次测量完成后,取3次示值相对误差的平均值作为该流量点的示值误差Ei,见(2)式。每个流量点取3次示值相对误差的平均值作为该流量点的示值误差,液相流量计单独检定和整机检定时示值误差绝对值最大的值作为加气机的示值误差。液相流量计单独检定和整机检定时重复性最大的值作为加气机的重复性。
7.检定周期
考虑到加气机主标准器――低温流量计的零点和长期稳定性问题,与压缩天然气加气机一致,加气机的检定周期一般不超过6个月。
8.质量法低温液体流量标准装置
质量法低温液体流量标准装置以低温液化气体(如液氮或LNG)为试验介质,采用质量法原理的流量标准装置。装置一般由流体源、试验管路系统、标准器以及辅助设备等组成,该装置可以直接溯源到质量基准,检定装置也可通过质量法低温液体流量标准装置直接溯源到质量基准。
JJG1114-2015附录A中给出了质量法低温液体流量标准装置的检定方法,该方法主要用于装置溯源和型式评价,也可用于现场仲裁和产品出厂测试,质量法的数据采集均采用静态法。采用质量法时,由于现场影响因素较多,实际误差可能较大,不安全、不环保、不经济(现场检定后LNG的安全排放难以解决),不推荐现场检定时采用该方法。







