首页>技术中心>技术资讯>8098单片机在GXH-102红外气体分析器中的应用
8098单片机在GXH-102红外气体分析器中的应用
发布时间:2017-11-22
引言
红外气体分析仪是一种广泛应用于石油、化工、冶金、环保等领域中的过程监测仪器,其作用在于监测现场流程气体浓度的变化,帮助用户达到提高产品产量和质量、降低能源和原材料消耗,保障系统安全高效运行的目的。
其中I―――红外辐射被气体吸收后的能量;I0―――红外辐射未被气体吸收时的能量;
K―――气体的消光系数,由气体分子结构决定;
C―――吸收红外辐射气体的浓度;L―――红外辐射所经历的气室长度。
国外生产红外气体分析仪主要有日本岛津科学仪器公司、横河电机制作所、美国贝克曼公司、德国哈特曼-布朗(HB)公司。它们的仪器先进之处在于:传感器的制作技术远先进于我国、率先使用了计算机技术,使仪器的精度、外观、操作都大为改善。四川分析仪器厂针对这种情况决定开发新一代微机化红外气体分析仪,并将微机部分的开发任务委托我们完成,要求微机系统能用软件方法解决长期困扰的传感器的非线性误差和温度效应误差,有浓度温度上下限报警、控制相敏整流、手动和自动校准、串口通讯等功能。
1硬件设计
本微机系统以8098单片机为核心,包含EPROM、RAM、8255、EEPROM的主机板,及带有指示灯、液晶片、键盘的显示板构成,见图1・两个通道的浓度、温度信号经二极管钳位电路输入到8098单片机的ACH4~ACH7,斩光盘的光电信号经施密特触发整形电路送到HSI・0,4个程控放大信号、2个电磁阀信号、4个直流电机控制信号经光耦送到相应驱动电路,2个脉宽调制信号输出、2个相敏整流控制信号由HSO.0~HSO.3经光耦送到标准电流输出电路、相敏整流电路,串口通讯由8255的PB7、PC7、地线组成,经准电平转换电路与系统机串口相连。

8255的PA口作为8个薄膜按键的读入口,通过74LS30与非门向8098发外中断申请,实现键盘中断扫描,在键值定义中采用了双键操作,因而用8个键实现了四种状态选择(测量MEAS、参数PARA、校准CAL、服务SERV)、三种转换(通道转换CHAN、量程转换MR、量纲转换DIM)、通过键盘修改四位数字等操作。根据仪器的要求,显示部分采用大连东方显示公司的EDM-1002数字式液晶显示器(8位8段)和11个发光二极管。液晶显示器用来显示测量气体的成分、测量结果。EDM-1002液晶驱动器内含有驱动器,与计算机接口的只有4根线:数据线、时钟线、电源线、地线。将数据线接到8098的RXD、时钟线接到TXD,通过8098的串行通道给显示器发数据就可静态显示。发光二极管信息由8255的PB、PC口发出,用于指示仪器所处的工作状态、测量通道、量程、量纲。发光二极管可有亮、暗、闪烁三种工作状态。闪烁驱动信号由8098的HSO0・4输出频率10 Hz的方波和8255的PC・0、PC・1相与产生。
本微机系统采用了EEPROM 2816A作为参数表存储器,可以实现单一+5 V电源下的在线读写,意外掉电或关机存储的数据不丢失。
2红外气体分析器工作原理
直读式红外线气体分析仪的工作原理如图2所示[2]。由红外光源发出两束红外线,经调制盘调制成一定频率,其中一束光经过参比气室进入接收室。另一束光经过充有被测气体的测量气室进入接收室。在参比气室中充入对红外线没有吸收的惰性气体(如He),使红外线通过参比气室后能量不变,测量气室中的被测气体对红外辐射有吸收,这样进入接收室的红外能量就带有被测气体浓度的信息。GXH-102红外气体分析器的传感器采用较先进的串联式四气室薄膜电容接收器,接收器的前室后室都装有一定浓度的高纯度被测气体,气室前端由CaF2玻璃密封,测量边和参比边的前后气室由半透半反镜片分隔开。红外光由前室进入,在通过半透半反镜片时一部分又被反射回前室,增加前室对红外光的有效吸收,后气室只有一小部分红外光通过,但后气室内装有反射性极好的镀金锥形体,使红外光往复反射,增加光程,增加吸收。而且前、后气室吸收的红外辐射对薄膜电容的作用呈相互抵偿形式,因此串联式四气室薄膜电容接收器可以有效克服其它气体对被测气体的干扰误差,具有稳定的静零点、动零点。

红外气体分析器的输出信号与浓度的关系为[3]:
△q =△t*i =- UKcAP0NEγσ/(ωρ0CγT0X2)*I0[1-EXP(-KgCL)]
式中P0―――压力;T0―――温度;A―――电极面积;x―――间距;L―――气室长度;KC―――介电常数;Eγ―――激发气体分子由基态激发到激发态所需的能量;σ―――气体分子由低态跃迁的几率;Cγ―――接收器气室中的恒容比热;ρ0―――气体密度值;N―――总分子数; U―――极化电压;ω―――调制频率;I0―――光强。
可见接收器信号输出与浓度并非呈线性关系,且温度也有较大的影响。在实际情况中,接收器信号输出与浓度、温度的关系比上式复杂得多,所以要想修正传感器非线性误差和温度效应误差,首先要找到它们的变化规律。
3接收器非线性误差和温度效应误差修正方法
3・1非线性误差修正
红外气体分析器非线性误差是影响精度的重要原因,传统的定标方法是分别在零点和满度定标,误差较大,由表1所示。

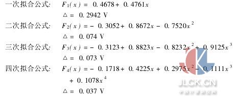
其最大线性误差达到5・4%・我们对实验所得数据用最小二乘法进行拟合,其拟合过程与精度为:

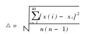
作为误差评定指标[4]:
其中n―――实验数据量,为40;xi―――实验所得的数据;x(i)―――由拟合公式所得的数据;

由这些分析看出要想使△足够小(<5 mV相当于满量程的0・1%)则拟合多项式是高次的(次数应高于15次),这不仅增加了计算量,而且由于各项系数很小,不得不采用8字节算法,增加了编程难度,影响了仪器的实时性。通过进一步的数据分析发现,在传感器响应曲线的中点附近增加一个标定点,即由一般的两点定标,改为三点定标,就可得到满意的效果,而且可以简化编程减小计算量,因此我们确定了三点定标的传感器非线性误差校正方法。如表2所示。

加入一个标定点后线性误差能达到仪器精度要求(<2%满量程)。
3・2温度效应误差补偿
由于红外气体分析器是在线检测仪器,需要长年开机,环境温度变化很大,可以从-5℃到60℃,所以接收器的温度效应误差对仪器的精度影响极大。图3是我们用日本横河电机制作所的6255型记录仪(0・5级)做得的记录。横坐标为时间(2格/小时),纵坐标为电压(经放大后的浓度、温度信号,0.25V/1格),实验温度从10℃上升到60℃,恒温约一小时后,开始降温降到约20℃・由我们所做实验发现,温度每上升或下降10℃,浓度信号将下降400 mV以上,相当于满量程的8%・如图3・

为了消除温度效应误差,较常用的有恒温法,即将仪器的传感部件装入恒温容器,但这会增大硬件开销,降低仪器的可靠性,而且为了使仪器传感部件和电气部件处于不同温度,还须两个机箱(传感部件机箱温度一般在60℃),又使仪器体积庞大。利用单片机进行软件补偿是一种经济的方法,但要找到接收器随温度变化的规律,首先要使实验过程与仪器实际运行过程一致,这样得到的实验数据才反映仪器实际运行过程。针对这一考虑,我们在接收器上贴装一个温度传感器,用系统机、ATD98开发系统、红外气体分析器本身的接收器、放大器构成数据采集装置。得到温度、浓度数据。


首先用一次多项式做温度补偿实验,得到图4,用二次补偿多项式做了一些实验得到图5,温度变化幅度大于40℃,补偿后浓度信号峰-峰值小于20 mV・温度稳定性高于用户提出的要求(20 mV/10℃相当于满量程的0・4%)・


4软件设计
软件系统根据GXH-102红外气体分析仪微机部分所需的功能,根据模块化的设计思想完成。软件系统包括1个模块―――主循环模块;5个状态―――测量(MEAS)、参数(PARA)、校准(CAL)、服务(SERV)、温度(TEMP);2个补偿―――温度补偿(TEC)、传感器非线性补偿(CPT);2个中断―――硬中断(EXINT)、软件中断(STINT);8大功能―――自检(SELD)、自动校准(CAL)、脉宽调制输出(SEND)、相敏整流控制(XMC)、串口通讯(SER)、通道转换(CHAN)、量程转换(MRS)、量纲转换(DIMS),和一些较小的功能模块构成,如图6・

本软件系统采用了一种“堆栈换向技术”(即在退出中断服务程序时,将所要退出处的地址压入堆栈,这样执行RET指令后,程序转到所须的地方),使整个软件系统紧紧围绕键盘和用户。
5小结
笔者于1995年7月完成了GXH-102型红外气体分析仪微机测控系统的研制,共研制三套。四川分析仪器厂于1995年8月10日至10月10日对红外气体分析器微机测控系统进行了性能试验和型式试验,结果表明,“3台样品通过性能试验和型式试验,测试结果均能达到Q/CY307-1995-GXH型红外气体分析仪企业标准的技术要求,性能试验合格,同意提交鉴定 。
随后,两台GXH-102型红外气体分析仪分别送往重庆液化空气有限公司和四川省新都氮肥厂做现场实验,试验时间分别为1995年11月7日至12月6日和1995年10月7日至12月6日。测试数据如表3・

1996年1月10日,GXH-102型红外气体分析器通过四联集团组织的型式鉴定,鉴定会的结论为“GXH-102型红外气体分析器达到90年代初国际先进水平,填补国内空白”(产品鉴定评语)。
摘自:中国计量测控网







