超声检测中二次采样的研究
发布时间:2017-11-22
超声检测与其它常规技术相比,具有被测对象范围广、检测深度大、缺陷定位准确、检测灵敏度高、成本低、使用方便、速度快、对人体无害及便于现场使用等优点[1]。因此,它是国内外应用最广泛、使用频率最高且发展较快的一种无损检测技术。现代工业对无损检测提出了高速度、高精度、高分辨力和高可靠性等要求,超声检测设备的自动化、小型化和数字化成为发展方向[2]。
超声模拟信号经过A/D采样成为一系列离散的源样本序列x(n)(n∈[1,N]),随之进行数字信号处理,最后以A,B,C等方式成像显示,此时用于显示的样本序列为y(m)(m∈[1,M])。源样本序列的长度N与采样深度L、超声声速C及A/D采样频率fad有关,可用如下公式计算[3]

而显示样本序列长度M受显示屏像素限制。在实际使用过程中,源序列长度与显示样本序列长度并不相等,多数情况都是N M,这时就产生了一个变换采样率的问题,同时还不能丢失缺陷的特征
(如峰值点的幅值和位置)。笔者提出二次采样的算法来解决变采样问题。
1二次采样
二次采样的实质是在N>M的情况下,对源样本序列以一定的采样间隔算法进行抽取。首先需利用采样间隔算法确定抽取所需的采样间隔参数。
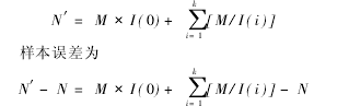
先根据源样本序列和显示样本序列的长度计算初始样本间隔Inum=[N/M]及此时所剩的样本数R(0)=N-Inum×M,若R(0)=0按照初始采样间隔Inum进行抽取即可,否则要再根据下面方法计算出各阶采样间隔I(k)和相应的剩余样本数R(k),算法终止的边界条件为已满足样本误差要求(N-N′)<ΔN(N为实际样本数,N′为算法使用的样本数,ΔN为设定的样本数误差)。
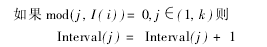
I(k)>M即[M/I(k)]=0。
利用该算法所用到的样本空间


抽取就是用计算出的采样间隔参数来修正样本间隔,并从中获取特征样本的过程[4]。算法如下

抽取的样本序列长度为Interval(j),且Interval(j)=Inum。

另外在抽取过程中,还要依据获取特征样本的要求从待抽取的样本序列里取一个样本,例如峰值捕获处理。
在程序设计实现时首先要根据上述算法计算采样间隔,至于阶数的选取可综合考虑样本误差和I(k)>M的因素;然后利用所得采样间隔参数进行二次采样的实现。设计的流程示于图1和图2。

2试验对比
中心频率fd=7.5MHz的超声射频信号,经A/D采样后取20μs得到的源样本序列x(n),长度N=10 000;然后进行二次采样,得到显示样本序列y(m),长度M=512。如图3a和c所示,在时域上很好地保持了和源序列波形的一致性,而且在处理过程中还可根据需求保留某些特征信息,这里进行了峰值捕获。

分别对x(n)和y(m)进行离散傅里叶变换(DTFT),得到频谱密度X(ejω)与Y(ejω)分布(图3b和d),中心频率仍是7.5MHz,但Y(ejω)中心频率带宽较X(ejω)的大,低频分量有所增加,局部有失真。
3结论
二次采样算法简单,代码开销小,其效果类似于对x(n)进行低通滤波;在对缺陷特征的处理中还可保留峰值样本的信息,包括该样本的幅值及在源样本序列中的位置,这样有利于定量分析评估缺陷的大小和位置。但它的适用源样本序列长度N大于显示样本序列长度M(最好是N M),另外,二次采样处理的频域特性较差,不利于进一步进行时频分析。
摘自:中国计量测控网







