首页>技术中心>技术资讯>等精度传递理论在水流量标准装置中的应用
等精度传递理论在水流量标准装置中的应用
发布时间:2017-11-22
引言
水流量标准装置是检定各种类型液体流量计,进行流量值传递的标准设备,依据其工作原理可分为静态容积法(或质量法)、动态容积法(或质量法)标准装置和标准表法流量标准装置,前二种标准装置的基本特点是:提供的标准流量量值稳定、可靠、准确性高,但对于普通工作流量计的检定,检定成本高而效率低。标准表法标准装置因其量值是由前二种标准传递的,故准确度较低,且标准表的周期检定频繁,但对于普通流量计的检定效率高,而检定成本低。河北省计量院于1986年研究建立的表态容积法水流量标准装置最大口径为80mm,准确度为0.2%,作为河北省社会公用计量标准,为省内流量量值的传递作出了一定贡献,但由于装置本身口径及特点所限,对于日益增加的大量不同种类流量计的检定工作已无法胜任,因此建立一套经济适用,可满足多种类型流量计量值传递所需要的水流量标准装置已显的尤为迫切。
1等精度传递理论
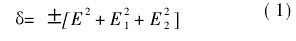
等精度传递的定义是指:在流量量值传递中只要满足计量学的相同性基本原则,即流量计检定时和使用时的流量点相同、检定介质与使用介质物理特性相同、流量计检定与使用的几何特性相同、流量计检定与使用过程中的操作过程相同,那么流量基准(或标准)所复现的流量单位量值将会等精度传递给工作流量计。下面举例予以说明:在JJG643-94《标准表法流量标准装置检定规程》中规定:当标准表定点使用时,其准确度δ为

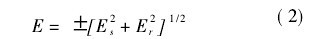
式中,E1为标准表没带配套仪表一起检定时引进的附加流量误差;E2为标准表检定和使用条件不同时引进的附加流量误差;E为标准表的基本误差。如下式得出:

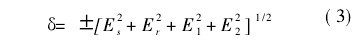
式中,Es为检定标准表用的上一级流量标准装置的准确度(用极限相对误差表示);Er为标准表的重复性(用单次测量极限相对误差表示)将式(2)代入式(1)得:

由式(3)可以看出,如将标准表和其配套仪表一起检定,同时尽量使检定条件与使用条件一致,则E1和E2可以忽略不计。由式(3)可得出:

由式(4)分析可得出如下结论:当ErnEs时,则δ≈Es,即当标准表的重复性(单次测量的极限相对误差)远小于检定标准表用的流量标准装置的准确度(极限相对误差)时,标准表的准确度便约等于检定标准表用的上一级流量标准装置的准确度。在各种流量计的特性中,某些作为标准表的流量计固定在某一流量点检定时,其重复性是非常好的。例如液体容积式流量计中的椭圆齿轮和腰轮流量计、速度式流量计中的涡轮流量计等。其重复性一般可达到0. 05%甚至更小。另外,在测量条件不变的前提下,对某量进行等精度多次重复测量时,随着测量次数的增加,其重复性(随机误差)将会随着测量次数的增大而变小。从理论上讲当测量次数n趋于无穷大时,其重复性将趋于零。因此依据流量和随机误差的特性是完全可以达到如上假设的条件。所以等精度传递理论在实践中是完全可以实现的。
2等精度传递理论的实际应用
静态容积法标准表法互补水流量标准装置的研制。
2. 1装置的组成
装置由静态容积法流量标准装置、标准表法流量标准装置合并组成。装置兼顾静态容积法和标准表法的规范要求,合并相同的部分,将两种方法有机融合。装置按不同管路又分成大小两组,其结构示意图如图1所示

2. 2装置的工作原理
2. 2. 1容积法工作原理
首先由水泵将水池中的水打入稳压容器,整个试验过程的供水都由变频控制系统控制,以保证水源压头的稳定和能源的节约。打开截止阀,水经过上游侧直管段、试验管段(通常为被试验流量计)、下游直管段、伸缩器、流量调节阀及换向器流入到标准量器内。正式测试时,换向器动作的同时触发计时控制器和被试验流量计开始计数,以保证水量和时间的同步测量。当达到预定的水量或脉冲数或时间时,操作换向器,使水流换向,同时触发计时控制器和被试验流量计停止计数。根据所测量的水量V和时间t按下式计算流量QV:

2・2・2标准表法原理
主要基于流体力学的连续性方程。同时读取标准表和被试验流量计的读数,若一台标准表与被试验流量计串联,则被试验流量计的仪表系数K为:

式中,Kn为被试验流量计与标准表在同一计数时间内的脉冲比;Ks为标准表的仪表系数。
2. 2. 3装置的等精度传递原理
对于静态容积法和标准表法互补构成的这套装置,依据等精度传递理论可知,在用容积法对标准表进行量值传递时,标准表的检定点,同时也是其作为标准使用时的使用点,检定介质,检定条件,皆完全相同,在利用平均仪表系数消除标准表在检定点的恒定系统误差后,则标准表在给定检定点下误差来源只剩下了二项, (1)容积法装置的传递误差即容积法本身的准确度(用极限相对误差表示); (2)标准表的重复性(用任一检定点下,仪表数的极限相对误差表示)。若标准表的重复性远小于容积法装置的准确度时,则可认为标准表的准确度约等于容积法装置的准确度,换句话说就是容积法装置将其流量量值等精度传递给了标准表。事实上标准表的重复性取决于在不改变测量条件下的重复测量次数,若测量次数有限,标准表的重复性不能视为微小误差忽略时,则标准表的准确度可由下式给出
(式中,δ1为容积法装置的准确度;δ2为标准表重复性)这样在这套容积法标准表法互补装置中,可以认为容积法装置相当于一个溯源标准,而标准表法装置则相当于一个工作标准,因此对于特殊要求的高精度流量计的量值传递可由容积法装置承担,而对于大量的工作流量计的检定则由标准表法装置完成,使容积法标准装置和标准表法装置量的优势得到了互补。一方面提高了容积法标准装置的使用寿命,解决了标准表的周期送检难题。而更主要的是提高了检定效率而降低了检定成本,具有较大的经济效益。
3装置的主要技术指标及与国际同类装置的比较
3. 1装置的主要技术指标
装置建成后,进行了调试检定,在自检的基础上,由中国计量科学研究院对该装置依据JJG164-2000检定规程进行了检定,结论为标准表法流量标准装置的扩展不确定度为0・1%,口径为15 ~300mm,流量上限为800m3/h,容积法流量标准装置的扩展不确定度为0. 055%。测量口径与标准表法一致,流量上限为800m3/h。
3. 2与国际同类装置的比较
在该装置上,用标准表法对石家庄奥森自动化仪表有限公司与俄罗斯米特兰流量仪表集团合资生产的多种类型的近百台流量计进行检定,其结果是被检表的不确定度均在1%范围内,与国内外生产厂家的检定结果相吻合。这也在一定程度上反映出该装置与国内外同类装置的一致性。
4结论
1)依据等精度传递理论设计
研制的静态容积法,标准表法互补流量标准装置,融合了容积法和标准表法各自的优点,尽可能减少了容积法装置的使用次数,提高了其使用寿命。最大限度发挥了标准表法无频繁换向效率高的特点,降低了检定成本。
2)作为工作标准的标准表,应选择动态效应和重复性好的流量计,除了容积式外还可以是涡轮涡衔或电磁流量计。
摘自:中国计量测控网






