首页>技术中心>技术资讯>卧式金属罐容积检定结果(内测法)测量不确定度评定
卧式金属罐容积检定结果(内测法)测量不确定度评定
发布时间:2017-11-22
1测量方法
根据《JJG266-96卧式金属罐容积检定规程》,大多数卧式罐均采用几何测量法进行检定,即通过测量卧式金属罐的有关几何尺寸(内测法或外测法),经过计算求出其容积。
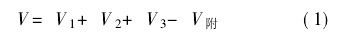
2数学模型

式中,V1为直圆筒或椭直圆筒部分的总容积,L;V2为伸长筒体部分的总容积,L;V3为两端顶板部分的总容积,L;V附为罐内附件体积,L。
3各输入量的标准不确定度的评定
3.1输入量直圆筒总容积(V1)的标准不确定度u( V1)评定
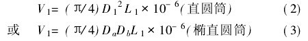
3.1.1数学模型

式中,D1为正直圆筒平均内直径,mm;L1为正直圆筒(或椭直圆筒)内总长,mm;Da为椭直圆筒平均内竖直径,mm;Db为椭直圆筒平均内横直径,mm。
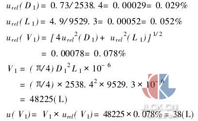
3.1.2直圆筒总容积(V1)的标准不确定度u( V1)评定
由于正直圆筒与椭直圆筒的不确定度来源、评定方法等基本相同,且实际工作中正直圆筒的卧罐较为常见,故以正直圆筒的不确定度评定为例进行评定。
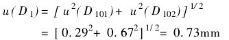
3.1.2.1输入量正直圆筒平均内直径(D1)的标准不确定度u(D1)评定输入量正直圆筒平均内直径(D1)的测量不确定度来源主要包括:由套管尺示值误差引起的不确定度分量u(D101),可采用B类评定方法;由测量人员操作及读数估读误差和测量点选择差异等因素造成的误差引起的不确定度分量u(D102),可采用A类评定方法;由温度等环境因素造成的套管尺示值误差引起的不确定度分量较小,故忽略不计。
(1)标准不确定度分量u(D101)的评定
根据检定规程的要求,套管尺的示值检定误差不大于±0.5mm,估计其分布服从均匀分布,所以:

(2)标准不确定度分量u(D102)的评定
通过对某卧式罐平均内直径进行重复性测量,共进行三组测量,每组分别测量罐内不同方向内直径各12处,得到三组平均内直径D11、D12、D13,测量数据见表1:

D1i估计为接近正态分布,所以:

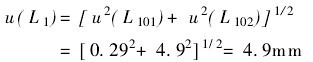
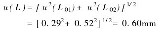
(3)输入量D1的标准不确定度u(D1)的计算

3.1.2.2输入量直圆筒长(L1)的标准不确定度u(L1)评定
直圆筒长(L1)的测量不确定度来源主要包括:由测深钢卷尺示值误差引起的不确定度分量u(L101),可采用B类评定方法;由测量人员操作及读数估读误差和测量点选择差异等因素造成的误差引起的不确定度分量u(L102),可采用A类评定方法;由温度等环境因素造成的测深钢卷尺示值误差引起的不确定度分量u(L103)较小,故忽略不计。
(1)标准不确定度分量u(L101)的评定
根据检定规程的要求,测深钢卷尺示值检定误差不大于±0.5mm,估计其分布服从均匀分布,所以:

(2)标准不确定度分量u(L102)的评定
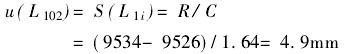
通过对某卧式罐内直圆筒平均长度进行重复性测量,共进行三组测量,每组分别测量罐内直圆筒两侧长度取平均值作为直圆筒长度,得到三组平均内长L11、L12、L13,测量数据见表2:

L1i估计为接近正态分布,所以:

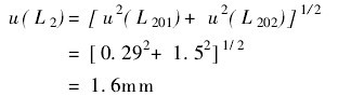
(3)输入量L1的标准不确定度u(L1)的计算

3.1.2.3V1的标准不确定度计算

3.2输入量伸长筒体部分的总容积(V2)的标准不确定度u( V2)评定
3.2.1数学模型

式中,D2为伸长筒体部分平均内直径(mm);L2为伸长筒体部分内总长(mm)。
3.2.2伸长筒体部分总容积(V2)的标准不确定度u( V2)评定
3.2.2.1输入量正直圆筒平均内直径(D2)的标准不确定度u(D2)评定
输入量伸长筒体部分平均内直径(D2)的测量不确定度来源主要包括:由套管尺示值误差引起的不确定度分量u(D201),可采用B类评定方法;由测量人员操作及读数估读误差和测量点选择差异等因素造成的误差引起的不确定度分量u(D202),可采用A类评定方法;由温度等环境因素造成的套管尺示值误差引起的不确定度分量较小,故忽略不计。
(1)标准不确定度分量u(D201)的评定
根据检定规程的要求,套管尺的示值检定误差不大于±0.5mm,估计其分布服从均匀分布,所以:

(2)标准不确定度分量u(D202)的评定
通过对某卧式罐伸长筒体部分平均内直径进行重复性测量,共进行三组测量,每组分别测量罐内两端伸长部分横、竖内直径每端2处(共4处),得到三组平均内直径D21、D22、D23,测量数据见表3:

D2i估计为接近正态分布,所以:

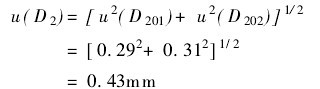
(3)输入量D2的标准不确定度u(D2)的计算
.jpg)
3.2.2.2输入量伸长筒体部分长度(L2)的标准不确定度u(L2)评定
伸长筒体部分长度(L2)的测量不确定度来源主要包括:由钢直尺示值误差引起的不确定度分量u(L201),可采用B类评定方法;由测量人员操作及读数估读误差和测量点选择差异等因素造成的误差引起的不确定度分量u(L202),可采用A类评定方法;由温度等环境因素造成的钢直尺示值误差引起的不确定度分量u(L203)较小,故忽略不计。
(1)标准不确定度分量u(L201)的评定
钢直尺的分度值为1mm,示值误差不大于±0.5mm,估计其分布服从均匀分布,所以:

(2)标准不确定度分量u(L202)的评定
通过对某卧式罐内伸长筒体部分平均长度进行重复性测量,共进行三组测量,每组分别测量罐内两端对称部位的伸长筒体长度每端4处(共8处),得到三组平均内长L21、L22、L23,测量数据见表4:

L2i估计为接近正态分布,所以:

(3)输入量L2的标准不确定度u(L2)的计算

3.2.2.3V2的标准不确定度计算

3.3输入量顶板部分的总容积( V3)的标准不确定度u( V3)评定
卧式金属罐的顶板一般包括球缺顶、半球顶、半椭球顶、锥形顶、圆台顶、平顶、弧形顶,以球缺顶为例进行不确定度评定。
3.3.1球缺顶总容积( V3)的标准不确定度u( V3)评定
3.3.1.1数学模型
.jpg)
式中,D2为顶板部分平均内直径,mm;h为顶板部分内总长,mm。
3.3.1.2各输入量标准不确定度分量评定
(1)输入量顶板部分平均内直径(D2)的标准不确定度u(D2)评定
顶板部分平均内直径(D2)的测量不确定度的评定与3.2.2.1所述相同,此处从略。
u(D2)=0.43mm
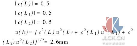
(2)输入量顶板高度(h)的标准不确定度u(h)评定
(a)数学模型
h=(L-L1-L2)/2
式中,L为卧式金属罐内总长,mm;L1为卧式金属罐直圆筒内长,mm;L2为卧式金属罐伸长部分内长,mm。
(b)各输入量标准不确定度评定
(1)输入量L的标准不确定度u(L)评定
卧式金属罐内总长(L)的测量不确定度来源主要包括:由测深钢卷尺示值误差引起的不确定度分量u(L01),可采用B类评定方法;由测量人员操作及读数估读误差和测量点选择差异等因素造成的误差引起的不确定度分量u(L02),可采用A类评定方法;由温度等环境因素造成的钢直尺示值误差引起的不确定度分量u(L03)较小,故忽略不计。
(1・1)标准不确定度分量u(L01)的评定
测深钢卷尺的示值检定误差不大于±0.5mm,估计其分布服从均匀分布,所以:

(1・2)标准不确定度分量u(L02)的评定
通过对某卧式罐内总长进行重复性测量,共进行10次,测量数据见表5:

(1・3)输入量L的标准不确定度u(L)的计算

(2)输入量L1的标准不确定度u(L1)评定
输入量L1的标准不确定度u(L1)评定与3.1.2.2中u(L1)的评定相同,此处从略。
u(L1)=4.9mm
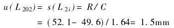
(3)输入量L2的标准不确定度u(L2)评定
输入量L2的标准不确定度u(L2)评定与3.2.2.2中u(L2)的评定相同,此处从略。
u(L2)=1.6mm
(4)输入量h的标准不确定度u(h)的计算

3.3.1.3球缺顶总容积( V3)的标准不确定度u( V3)的计算

3・4附件体积测量不确定度的评定
卧式金属罐内的附件一般为若干加强圈或(和)支架,其体积一般采用几何测量计算法。由于附件体积与卧式罐总体积相比很小,故附件体积的测量不确定度可以忽略。
3・5卧式金属罐倾斜引起的油罐容积测量不确定度评定
由于卧式金属罐倾斜对油罐液位在下尺点内径1/2高度时的容积影响最大,其不确定度主要来源为测量点的选择和操作者的读数误差,由于测深钢卷尺、水平仪的示值误差以及温度等环境因素造成的误差引起的不确定度分量较小,可以忽略不计。
通过对某卧罐倾斜度进行重复测量6次,测量数据见表6:

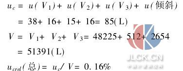
4总容积测量不确定度的评定
4・1总容积的标准不确定度评定

4・2扩展不确定度

摘自:中国计量测控网







