首页>技术中心>技术资讯>气体腰轮流量计仪表系数的测量不确定度分析与评定
气体腰轮流量计仪表系数的测量不确定度分析与评定
发布时间:2017-11-22
引言
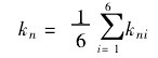
一般气体腰轮流量计依据JJG 633-1990检定规程,误差按其流量计示值误差进行计算,但在实际工作中,经常碰到一些气体腰轮流量计输出是脉冲数,虽然其检定方法只是增加了脉冲计数器,但误差计算不同,这就需要计算其仪表系数,公式如下。

式中,kni为第n个流量点第i次流量的系数;Nni为第n个流量点第i次流量时流量计显示仪表测得的脉冲数;Vsn为换算成流量计状态下的标准体积。
第n个流量点的仪表系数

1测量方法
气体腰轮流量计的测量可采用排气法。排气法利用钟罩式气体流量标准装置使空气通过气体腰轮流量计排出。测出排出(流入)气体的体积,腰轮流量计的脉冲数以及装置内和气体腰轮流量计前的气体压力和温度,计算出气体腰轮流量计在某一流量状态下的仪表系数。
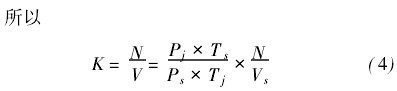
2数学模型


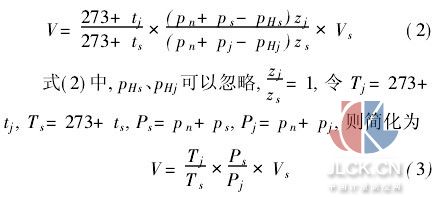
式(4)中,K为腰轮流量计仪表系数; V为通过气体腰轮流量计的气体体积实际值,(L);N为腰轮流量计的脉冲数,(imp);Vs为气体流量标准装置通过的气体体积,(L);Pn为大气压力,(Pa);Ps、Pj分别为装置内和气体腰轮流量计前的气体绝对压力,(Pa);Ts、Tj分别为装置内和气体腰轮流量计前的气体热力学温度,(K)。
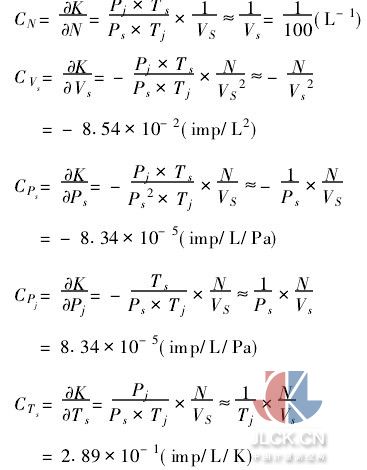
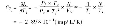
3灵敏系数
取:N=854imp,Vs=100L,Ps=101430+972=102402Pa,Pj=101430+960=102390Pa,Ts=295K,Tj=295・1K。则各灵敏系数为:


4计算分量标准不确定度
4・1气体腰轮流量计脉冲数引起的不确定度u(N)
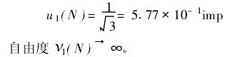
4・1・1脉冲数计数器引起的不确定度u1(N)
由于脉冲数计数器存在±1个脉冲的误差,作均匀分布,得标准不确定度

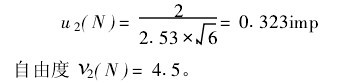
4・1・2重复测量引起的不确定度u2(N)
气体腰轮流量计经过6次试验,脉冲数为855,854,853,854,854,854。那最大与最小之差为2个脉冲。可得测量重复性引起的平均值的不确定度为:

这样气体腰轮流量计脉冲数的标准不确定度为:

4・2气体流量标准装置通过的气体体积的不确定度u( Vs)
4・2・1气体流量装置引起的不确定度u1( Vs)
检定气体腰轮流量计时采用0・2级的钟罩式气体流量装置,其误差限为±0・2%×100L=±0・2L,作均匀分布,故:

钟罩装置0・2级经检定合格,估计其相对不确定度为10%,自由度:
ν1( Vs)=50
4・2・2流量积算仪引起的不确定度u2( Vs)
VS通过流量积算仪读数,而读数误差1个脉冲即0・26L故:

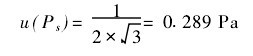
4・3装置内压力测量引起的不确定度u(Ps)
由于测量装置内压力的微压计其分辨力为1Pa,作均匀分布,故:

估计其有10%的可靠性,因此自由度:
ν(Ps)=50
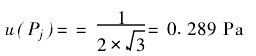
4・4气体腰轮流量计前压力测量引起的不确定度u(Pj)
由于测量气体腰轮流量计前压力的微压计其分辨力为1Pa,作均匀分布,故:

估计其有10%的可靠性,因此自由度:
ν(Pj)=50
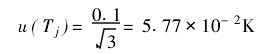
4・5装置内温度测量引起的不确定度u(Ts)
由于测量装置内温度的温度计其允许误差为±0・1K,作均匀分布,故:

估计其有10%的可靠性,因此自由度:
ν(Ts)=50
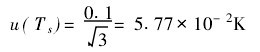
4・6气体腰轮流量计前温度测量引起的不确定度u(Tj)
由于测量气体腰轮流量计前温度的温度计其允误为±0・1K,作均匀分布,故:

估计其有10%的可靠性,因此自由度:
ν(Tj)=50
5合成标准不确定度

6有效自由度

7扩展不确定度
为获得置信概率为95%的扩展不确定度,取ν=38,查t分布表得:t95(38)=2・02,故气体腰轮流量计仪表系数测量结果的扩展不确定度为:

而气体腰轮流量计仪表系数测量结果的相对扩展不确定度为:

摘自:中国计量测控网







