提高热电偶响应速度的补偿算法
发布时间:2017-11-22
1引言
工业测温场合普遍使用带保护套管的热电偶。众所周知,保护套管的热容会迟缓响应速度,这对于动态温度测量十分不利。尤其在测温对象的热容不能远大于热电偶热容的场合,例如小型反应器内,测温结果会显著失真。
提高热电偶响应速度的常规途径是热端裸露或壁厚减薄,即减少测温元件的热容,但这必然会削弱热电偶的强度和耐磨性。如何以软补硬,改进热电偶的响应速度指标,正是本文要讨论的问题。
2原理
带保护套管的热电偶,可以视为图1如示环节组成。其中待测温度是输入,示值温度(与热电势相对应)是输出。第一个环节是一阶贯性环节[1],时间常数T是由热阻、热容决定的;第二个环节由分度表描述。
尽管热电势与温度呈非线性关系,但由于热量的叠加性及热容为常数,仍可以将示值温度看成多个时刻温度影响的叠加。待测温度t的变化曲线,可近似看成一系列阶跃函数的叠加,见图2(若看成高阶函数的叠加,则逼近精度会提高,但运算量也会明显增加)。

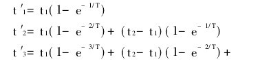
假设在测温开始之前已恒温足够时段,则一阶贯性环节的前后数据相符。用t和t′表示待测温度和示值温度在稳定基础上的变化量,将一阶贯性环节离散化,有:


当K/T>>4以后,e-k/T→0,上式中一些项目可以忽略。例如,适当选择采样间隔,使T=3,则K>12以后,e-13/T=1.3%→0,最大误差1.3%。若取更多项,则逼近误差会更小,但运算量加大。继续地:

3补偿算法
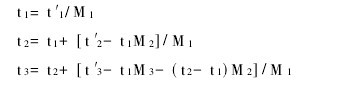
按照上述关系式,从示值t′k可以推得待测温度的实际值tk。记M1=(1-e-1/T),M2=(1-e-2/T),…,则:


每个待测度的估算值都是有限项之和,且项目数由逼近精度决定。
4试验
设置40、50、60、70、80℃五个恒温水样。先将热电偶从室温迅速放入40℃水中,利用升温曲线测得时间常数为3s。然后依次在50、60、70、80、70、60、70℃水样中放置3s,则待测实际温度见图2中t所示。示值温度见图中t′,补偿后的温度见t∧。可见补偿效果是明显的。

5结论
将示值温度看成多个时刻温度影响的叠加,从而推导出热电偶补偿算法。通过对示值温度的运算,即刻得到待测实际温度。将补偿算法集成到单片机内,将是提高热电偶性能指标的有效途径。
摘自:中国计量测控网







