首页>技术中心>技术资讯>一种中部通孔动节流元件的流量变送器
一种中部通孔动节流元件的流量变送器
发布时间:2017-11-22
引言
目前,基于节流原理的流量测量仍被广泛应用,其原因在于节流式流量计使用方便、适应性好,不像涡街流量计易受外界测量条件影响[1 -2]。节流式流量计中,差压式流量计使用固定式节流元件,靶式和转子流量计使用动节流元件。
固定式节流元件孔板、喷嘴或文丘里管固定在管道中,流体从其中部的通孔流过; 靶式或转子流量计的动节流元件为悬在管道中央的圆盘靶或转子,没有中部通孔,流体从圆盘靶或转子与管道间的环形间隙流过。固定式节流元件与差压计间需设导压管,故不适合小管径和脏污流体的流量测量。
与靶式或转子流量计不同,本文设计的流量变送器使用中部通孔的孔板、喷嘴或文丘里管作为动节流元件,将被测流量转换为流体作用在动节流元件上的推力,无需导压管。
1 流量变送器的结构与原理
流量变送器由中部通孔的动节流元件测量装置与应变式位移检测元件的力平衡式变送器两部分组成,流量变送器结构原理如图 1 所示。

流体在固定式节流元件前后产生压差与在动节流元件上产生推力是节流原理的一体两面,其本质是相同的。考虑到测量推力比测量压差更直接,且无需导压管,因而使用动节流元件比固定式节流元件更有优势。
由于没有导压管在传递微小压差方面的困难,因此,与差压变送器主要用孔板不同[3],本文设计的变送器主要使用文丘里管。与孔板相比,文丘里管流阻更小,因而更符合现代流量计要求流动损失小的发展趋势。
使用文丘里管时,流体中的污物不会像孔板那样在前方堆积,流量变送器既不存在导压管堵塞问题,也不易堵塞主管道,因而适用于测量脏污流体。研制该流量变送器的初衷是为小口径的户用型热计量表设计一款合用的流量计,但很明显,它也可用于许多其他场合。在测量装置中,动节流元件采用文丘里管,其两端各配接一个带边缘波纹的金属波纹弹性膜片,膜片内缘与文丘里管的出、入口密封连接,外缘与前、后端管密封连接。上述密封连接形成一个流体从前端管入口流入、接着流过文丘里管中部通孔、最后从后端管出口流出的无泄漏的流动通道。
金属弹性膜片既有隔离被测流体并承受该流体压力的功能,又有支撑文丘里管并允许其沿轴向移动的功能。机壳架与前、后端管刚性连接,以固定两端管间距离,并可在上面安装其他部件。在力平衡式变送器中,反馈动圈固定安装在杠杆上端,并处于永久磁钢的磁场中。应变片粘贴在一个刚度系数很低的悬臂梁上,悬臂梁上端固定,下端感受经杠杆传递的文丘里管位移。
需要说明的是,为了以较小的挠度获得要求的应变值,悬臂梁应有相当的厚度,但这又与它刚度系数很低的要求相矛盾。解决方法是采用非金属弹性材料或使用其他结构型式的弹性元件。当流量增大时,流体对文丘里管的推力增大,文丘里管右移,经杠杆传递,悬臂梁下端向左挠曲,其上的应变片产生相应的差动电阻变化。该电阻变化经电桥、电压放大和 V/I 转换电路处理后,使变送器输出电流增大。变送器输出电流在流过负载电阻 RL的同时,还流过反馈动圈,以产生更大的电磁反馈力,从而与增大的流体推力相平衡。
电磁反馈力与输出电流有关,流体推力与流体流量有关。因此,根据流过负载电阻 RL的输出电流值即可得到被测流量的大小。力平衡式变送器是一个负反馈闭环系统,它由杠杆、前向通道的位移检测放大器、反馈通道的电磁反馈装置组成,其原理如图 2 所示。

位移检测放大器采用应变式位移检测放大器,它由应变式位移检测元件、电桥、电压放大器、V/I 转换电路几部分组成。
应变式位移检测元件包括检测悬臂梁与粘贴在其上的应变片。电桥将应变片电阻变化转换为电压,电压放大器输出电压经 V/I 转换电路转换为整个变送器输出的直流电流信号 I,电流信号 I 又同时流过固定在杠杆上的反馈动圈,产生电磁反馈力 f2。被测量的输入力 f1与 f2在杠杆上比较后产生的差值力 Δf 作用在悬臂梁上,Δf 使悬臂梁产生形变( 位移) 并被其弹性力平衡,该形变又使应变片产生相应的电阻变化。
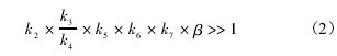
根据闭环系统传递函数的计算方法,可得整个变送器输出的直流信号 I 为:

式中: k1、k2、k3、k5、k6、k8为闭环系统相应环节的比例系数; I 为变送器电流输出信号,mA; f1为被测量的输入力,N; k4为悬臂梁刚度系数,N/m; k7为电压放大器放大系数,无量纲; β 为电磁反馈装置的反馈系数,N/mA。
由于 k4应设计得比较小,k7又比较大,即:

因此式( 1) 可简化为:

式中: k1、k2为杠杆系统的比例系数,无量纲。由于 k1、k2、β 均为特性较稳定环节的比例常数,故变送器输出I 与被测输入 f1呈稳定的比例关系。由以上分析可见,只要前向通道的放大倍数足够大,变送器特性就只与 k1、k2、β 有关,而与应变式位移检测放大器各环节比例系数的稳定性无关。因此,放大器可使用相对便宜的元器件。
在测量流量时,f1与流量 Q 具有确定的对应关系( f1与 Q 相互间的关系将在下一节讨论) ,则:
I = f( Q) ( 4)
由式( 4) 可知,变送器输出信号 I 与被测流量 Q之间有确定的函数关系。
2 中部通孔的动节流元件测量装置
图 1 中,杠杆下部安装有一个传动叉,叉两端各有一开口槽,文丘里管上的两个圆柱销置于开口槽内,开口槽与圆柱销组成移动副,可将文丘里管的轴向运动转变为杠杆的转动。杠杆上部与检测悬臂梁接触,梁上的应变片将杠杆上部位移转换为对应的电信号。
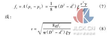
作用在文丘里管上的推力 f1与被测流量 Q 之间的关系可分析如下。将文丘里管安置在水平直管道上,这样,研究文丘里管前后流体位能变化时就只需考虑静压能。根据流体力学原理,有:

式中: p1、p2为文丘里管前、后流体的静压力,Pa; γ 为被测流体的重度,N/m3; ξ 为阻力系数,它与文丘里管的形状和流体黏性等有关; g 为重力加速度,m/s2; v 为流体流过文丘里管中部通孔的流速,m/s。显然,( p1- p2) 乘以文丘里管的有效横截面积 A,即得到被测流体作用在文丘里管上的推力 f1。
文丘里管的有效横截面积为:

式中: D 为外接管道内径,m; d 为文丘里管中部通孔直径,m。与边缘受限的弹性膜片的有效面积计算不同,文丘里管是整体移动的,其有效横截面积不必考虑边缘效应,直接按几何尺寸计算即可。
由于带边缘波纹的波纹弹性膜片中心位移的刚度系数较小[4],测量过程中文丘里管的位移也很微小,且流体流过文丘里管要产生压差,适当选择弹性膜片的有效面积,则流体压差在两个弹性膜片上产生的额外推力将抵消两个弹性膜片因轴向微小位移产生的大部分甚至全部反弹力。因此,流体对文丘里管的推力 f1主要由电磁反馈力 f2平衡,两个弹性膜片沿管道轴向位移所产生反弹力的影响可以忽略。综合式( 5) 和式( 6) 可得:

根据式( 7) 和式( 8) ,可得被测流量 Q 的表达式为:

式中: Q 为被测流体的体积流量,m3/ s; C 为流量系数,m3・N2・s- 1。当被测流体各项参数和文丘里管几何尺寸确定后,C 是常数,因此流量 Q 与推力 f1的平方根成正比。但 C 的组成项 ξ 不能通过理论推导获得,只能对流量计进行试验标定来确定 C 值。
图 1 中,动节流元件的测量装置仅适用于测量比较清洁的液体与气体,若在文丘里管前后各加装一个简单的防堵塞元件,则该装置即可胜任脏污流体的流量测量。在此,为使画面更简明,该防堵塞元件未在图中画出,将另文介绍。
3 新型力平衡式变送器
根据力平衡原理,当前向通道放大倍数足够大时,力平衡式变送器的输入/输出特性只取决于杠杆和电磁反馈装置。因此,调零点和调量程的装置均应设置在杠杆和电磁反馈装置上。
零点调节通过调整杠杆上的调零弹簧( 图 2 中未画出) 实现,从而使流量在测量下限时变送器的输出电流为 4 mA。量程调节主要通过改变电磁反馈装置在杠杆上的位置等措施来实现。
本文作者自制了一个 DN20 口径的流量变送器,文丘里管采用经典文丘里管廓形[5],并在实验室里做了试验标定[6]。试验标定后,用方程 I = aQb对输入输出试验数据进行曲线拟合,拟合曲线接近于二次曲线。进行试验标定时,在常用流量 1. 2 m3/ h 的标定流量点上,文丘里管前后的静压损失仅为 1. 38 kPa。因此,与孔板相比,流体作用在文丘里管上的推力较小,平衡该推力的电磁反馈力也较小。这样,变送器就可采用比较细的单杠杆,而不必像 DDZ-Ⅲ型差压变送器那样采用复杂的双杠杆与矢量机构[7]。
力平衡式变送器中的应变式位移检测放大器整体电路如图 3 所示[8 -9],而该放大器各部分间的关系则可参见图 2。

在应变式位移检测元件中,将应变片 R2、R3粘贴在悬臂梁正应变区,应变片 R1、R4粘贴在负应变区。
对于位移检测放大器,其只要求放大倍数比较高,因此,为降低造价,不必选择弹性模量温度系数小的金属材料制作悬臂梁,而只需将其刚度系数 k4设计得足够小即可。这样,很小的差值力 Δf 就能使应变片产生足够的 ΔR。显然,Δf 相对于 f1和 f2越小,变送器测量精度就越高。
同样地,电压放大器选用低价格的仪表放大器AD8221。AD8221 的输出电压 UI取决于其放大倍数和电桥中应变片的 ΔR,改变 RG就可以调整其放大倍数,进而使得应变片的 ΔR 能够在某个应变值下( 设计时应确保该值始终小于该应变片的极限应变) ,将 UI达到后续 V/I 转换电路要求的最大值 +4 V。V / I 转换电路选用 XTR115 型二线制电流变送器,其管脚 7 为电源端,外接输出电流环路中的直流电源US。在实际测量中,变送器通常在测量现场,而 US和负载电阻 RL在远离测量现场的控制室,因此使用XTR115 很容易实现安全火花防爆。
XTR115 的管脚 1 为电桥提供 + 2. 5 V 的电源电压,管脚 8 为 AD8221 提供 + 5 V 的电源电压,管脚 3为 +2.5 V 基准电压源输出电流 IREF和 +5 V 稳压器输出电流 IREG的返回端,可作为输入电路的公共地。电路中 C 为降噪电容,VT 为 XTR115 外接的 NPN功率管,型号为 2N4922。2N4922 的发射极、基极、集电极分别接 XTR115 的管脚 5、6、7,它与 XTR115 内部输出晶体管并联后可降低芯片的功耗。
当悬臂梁受力挠曲时,电桥输出的电压信号首先经仪表放大器放大成0. 8 ~4 V 的输入电压 UI,再通过20 kΩ 的输入电阻 RI转换成 40 ~ 200 μA 的输入电流II,最后经 XTR115 放大 100 倍后获得 4 ~ 20 mA 的直流电流信号 IO,由 XTR115 的管脚 4 输出。
4 结束语
本文设计的流量变送器基于节流原理,具有使用方便、适应性好等特点。节流元件主要采用文丘里管,与孔板相比,其流阻更小、测量精度更高、使用寿命更长。此外,无导压管使其结构更简单,现场施工更容易; 应变式位移检测放大器调校方便,电路简单。
本文设计的流量变送器不仅适用于小管径和脏污流体的流量测量,如户用热量表的流量计和户用燃气表等,而且在其他领域也有广泛的应用。这有待进步研究和积累试验数据,从而使该型流量变送器具有取代全部差压变送器和大部分超声波流量计的发展前景。
摘自:中国计量测控网







