标准物质定值的统计学原理(四)
发布时间:2017-07-22
三、标准物质稳定性的统计检验
(一)标准物质稳定性的基本要点
标准物质的稳定性是用以描述标准物质特性量值随时间而变化,是指标准物质长时间贮存时,在外界环境条件的影响下,物质物理化学性质和特性量值保持不变的能力。稳定性的定义是:在规定的时间间隔和环境条件下,标准物质的特性量值保持在规定范围内的性质。规定的期限愈长,表明该标准物质稳定性愈好。这个期限被称为标准物质的有效期。在颁布和发售标准物质时,应明确给出标准物质的有效期,这样使用者在规定的有效期内使用该标准物质才可能保证所校准的测量仪器,所评价的测量方法或确定其他材料的特性值准确。
1、影响物质稳定性的因素及保证物质稳定性的措施
物质的稳定性是有条件的、相对的。标准物质的稳定性受到外界条件的影响,如固体物质在空气中由于风化、吸湿水解、表面发生变化;液体物质长时间保存后溶剂蒸发或产生沉淀,使浓度发生改变,而有机物质易发生霉变现象;对气体和液体标准物质,容器也是影响标准物质稳定性的重要因素,容器的材质和容器内壁的处理方法和工艺对标准物质稳定性都至关重要。
为了获得具有良好稳定性标准物质,在标准物质研制的初始阶段应注意选择具有长时间稳定性能的材料作为标准物质的侯选物。应对物质的制备过程和方法,贮存条件以及促使物质稳定的措施加以研究。选择合适的保存环境,如在干燥、阴凉、干净的环境中保存。选择贮存容器,如选择材质纯、水溶性小、器壁吸附性和渗透性小、密封性好的容器存贮。采取必要的措施,如杀菌、用紫外光照射和C600λ射线杀菌。使用化学稳定剂,如:一定浓度的酸可以增加水中重金属元素的稳定性。
2、稳定性的监测
稳定性的监测的目的是为了给出该标准物质的有效期。稳定性监测需要考虑以下几个问题:
(1)应在规定的贮存或使用条件下,定期地进行待定量值的稳定性检验。
(2)稳定性检验的时间间隔可以按先密后疏的原则安排,在有效期内应有多个时间间隔的监测数据。
(3)当标准物质有多个待定特性量值时,应选择那些易变的和有代表性的待定特性量进行稳定性检验。
(4)选择不低于定值方法精密度和具有足够灵敏度的测量方法进行稳定性检验,并注意每次实验时操作及实验条件的一致。
(5)考察稳定性所用样品应从分装成最小包装单元的样品中随机抽取,抽取的样品数对于总体样品应有足够的代表性。
3、稳定性的评价
可用作图法、统计检验法或变化率指标确定稳定性和有效期。
(1)作图法
绘制监测结果随时问变化的曲线,把无明显上升或下降趋势,计量值在计量方法的不确定度范围内波动的时间间隔定为标准物质的有效期。
(2)统计检验法
采用检验等统计检验法检查各次监测结果的差异是否处于统计学允许的计量方法的不确定度范围内。
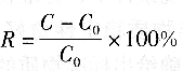
(3)变化率指标的规定
变化率的定义是:
式中:R——特性量值的变化率(%);
C0——标准物质的标准值;
C——稳定性监测的各次计量值。
根据使用要求确定一个适当的变化率指标,将R值不超出规定值的时间间隔定为标准物质的有效期。
对于具有良好的稳定性的标准物质,在规定的期限即有效期内,物质本身的变化在检测方法的精密度范围内不应检测出来。当这种变化能被检测出时,则由物质的变化所带来的特性量定值的不确定度应引入总的测量不确定度中。
四、标准物质的稳定性统计检验
1、直线拟合法
标准物质的稳定性包括长期稳定性和短期稳定性。
长期稳定性是指在规定贮存条件下标准物质特性的稳定性。
短期稳定性是指在运输条件下标准物质在运输过程中的稳定性。对于某些临床、生物和环境标准物质,由于运输条件很难保持贮存条件,且这些物质可能由于温度的变化,因此进行2周左右的稳定性考察是必要的,一般短期稳定性研究进行3~4周已足够。
长期稳定性的研究是在不同的时间(例如,以月为单位)积累特性值的测量数据。表3—4给出土壤中铬的稳定性测量数据。将表3—4中的数据,以x代表时间,以y代表标准物质的特性值(铬的含量),拟合成一条直线,则有斜率b1。
故斜率是不显著的。因而未观测到不稳定性。
有效期t=36个月的长期稳定性的不确定度贡献即成为:
si=s(b1)·t=0.105233×36=3.78mg/kg
可以根据si的大小通过有效期来进行调整。
2、其他统计检验方法
为了评定物质的稳定性,在贮存期间定期抽样测定。在测量误差中,除测量本身由于方法、测量仪器、实验条件的变化等必然带来测量误差外,物质可能发生的变化也会带来误差。为了突出物质变化所引起的那部分误差,在每进行一次测量时,应尽可能控制各种条件,使其趋于一致,选择精密度高的方法,使测量结果之间的差异着重反映出由物质变化所引起的那一部分误差。
设方法的标准偏差为s(它是通过多次测量统计出来的),该物质的特性量值的标准:
著性变化。
实际上作为均匀性检验的统计学方法用在稳定性检验上同样适用,只不过用时间变量来替代瓶间变化变量而已。
参考资料:标准物质定值原则和统计学原理







