标准物质定值的统计学原理(七)
发布时间:2017-07-22
4、定值不确定度的估计
特性量的测量总平均值即为该特性量的标准值。标准值的总不确定度南三个部分组成:第一部分是通过测量数据的标准偏差、测量次数及所要求的置信水平按统计方法计算出。第二部分是通过对测量影响参数和影响函数的分析,估计出其大小。第三部分是物质不均匀性和物质在有效期内的变动性所引起的不确定度。
5、定值结果的表示
定值结果一般表示为:标准值±总不确定度要明确指出总不确定度的含义并指明所选择的置信水平。总不确定度可以用标准不确定度表示也可用展伸不确定度表达。
总不确定度一般保留一位有效数字,最多只保留两位有效数字。标准值的最后一位与总不确定度相应的位数对齐来决定标准值的有效数字位数。
6、标准物质的定值示例
按照标准物质的定值方式,JJF 1006-1994已经将不同方式定值数据的统计处理作了较为详细的描述。下面就ISO指南35中多个方法和多个实验室联合定值方式举例如下:
由多个实验室采用重量法、容量法和量热法以及分光光度法在37℃下测量标准物质中γ-谷氨酰转移酶(GGT),测量数据见表3-14。
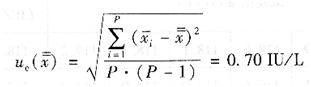
按照JJF 1006-1994-级标准物质技术规范,将12组数据视为等精度数据,则12个平均值构成一组新的数据,故:
结果是完全一致的。
采用加权平均统计处理的例子:
由16个实验室用不同方法对土壤中铬进行测定,测定数据见表3-15。表中xi为每个实验室测定的平均值,ui为该实验室所采用方法测定的标准不确定度。
参考资料:标准物质定值原则和统计学原理







