乙酸铵交换-原子吸收分光光度法
发布时间:2017-09-01
1、方法原理
以乙酸铵为土壤交换剂,浸出液中的交换性钙、镁,可直接用原子吸收分光光度法测定。测定时所用的钙、镁标准溶液中应同时加人同最的乙酸铵溶液,以消除基体效应。此外,在土壤浸出液中,还应加入释放剂铭(SO,以消除铝、磷和硅对钙测定的干扰。
2、仪器及设备
原子吸收分光光度计
3、试剂
(1)钙标准溶液[p(Ca)=1000mg・L-1]:2.4972 g碳酸钙(CaCO3,分析纯,经110 0C供4h)溶于盐酸溶液〔c(HCI)=1.0 mol・L-1]中,煮沸赶去二氧化碳,用水洗入1000mL容量瓶中,定容。
(2)镁标准溶液[p(Mg)=1000 mg・L-1〕:1.0000g金属镁(光谱纯)溶于少最盐酸溶液[c(HCI)=6mol・L-1〕中,用水洗人1000 mL容最瓶中,定容。
(3)钙、镁标准系列混合溶液(其中含钙0mg・L-1~24mg・L-1,含镁0mg・L-1,~6MgL-1):分别吸取不同量的(试剂1)和(试剂2),用乙酸铵溶液(试剂5)定容配制成含钙(Ca )1 mg・L-1,4 mg・L-1, 8 mg・L-1,12 mg・L-1,16 mg・L-1,24 mg・L-1和含镁(Mg)0.5 mg・L-1,1mg・L-1,2 mg・L-1,3mg・L-1,4mg・L-1,5mg・L-1,6mg・L-1的混合溶液。各混合溶液中应先加入氯化银溶液(试剂4),使配制溶液中含锶(Sr )1000mg・L-1。
(4)抓化银溶液[p(SrC12・6H2O)=30g・L-1]:30 g氯化铭(SrCI2・6H20,分析纯),用去离子水溶解后定容量1L。
(5)乙酸按溶液〔c(CH3C00NH4)=1 mol・L-1,pH7.0]。
4、测定步骤
吸取乙酸铵处理土壤的浸出液(注1)20ml,于25mL容量瓶中,加人氯化锶溶液(试剂4)2.5 mL,用乙酸铵溶液(试剂5)定容。定容后的溶液直接在选定工作条件的原子吸收分光光度计上用422.7 nm(钙)和285.2 nm(镁)波长处测定吸收值(注2)。在成批样品的测定过程中,要按一定时间间隔用标准溶液校正仪器。
用钙、镁标准系列溶液在相同条件下测定吸收值,绘制浓度-吸收值工作曲线。根据待侧液中钙、镁吸收值分别在工作曲线上查得钙、镁的浓度(mg・L-1)。
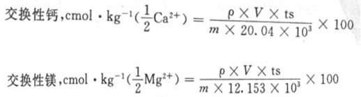
5.结果计算

式中:p――从工作曲线上查得测读液的钙(或镁)浓度,mL・L-1;
V――测读液体积,25mL。

103――将mL换算成L的除数;
m――土样的质量,g。
6、允许偏差
按2.2《土壤交换性酸的测定》表2-2的规定(中华人民共和国国家标准,1987)。
7、注意事项
(1)土壤浸出液中如有漂浮的枯枝落叶等粗有机质,应先过滤除去,避免阻塞喷雾装置。
(2)原子吸收分光光度计测钙、镁的条件,参照仪器说明书。
参考资料:土壤农业化学分析方法







