多元酸、混合酸以及多元碱的滴定
发布时间:2017-09-01
1、多元酸的滴定
多元酸在水溶液中是分步解离的,其滴定反应也是分步进行的,例如用Na0H滴定二元酸H2A时有如下反应:
H2A+OH-=HA一+H20
HA一+OH-=A2-+H20
用强碱滴定多元酸时,情况比较复杂,既要考虑能否准确滴定,又要考虑能否分开滴定。与一元弱酸类似,cKa≥10-8就可以被准确滴定,至于能否分步滴定,取决于Ka1、Ka2的相对大小。若Ka1、Ka2相差不大,当第一步反应未进行完全时,第二步反应或多或少也要进行,即两步反应有所交叉,这样就不能形成两个独立的突跃,不能分步滴定。那么Ka1、Ka2相差多少才能分步滴定,这与分步滴定要求的准确度和检测终点的准确度有关。由于在第一计量点的滴定产物HA-是两性物质,具有缓冲作用,过量的碱不会造成溶液的pH大幅度升高,故此时的滴定突跃较一元弱酸(碱)的要小得多。因此,对多元酸分步滴定的准确度不能要求太高,当允许滴定误差为±1%,滴定突跃≥0.4个pH单位,要进行分步滴定必须满足下列条件:

因此,式(3―23)可作为多元弱酸分步滴定的判别式。例如,用0.10mol・L-1NaOH滴定同浓度的H3P04溶液。H3PO4在水中有三级离解:


由于cKa1>10-9,Ka1/Ka2>104,cKa2>10-9,Ka2/Ka2>104,cKa3<10-9,因此H3PO4第一级和第二级解离H+均可准确直接滴定,且可分步滴定,而第三级解离H+不能直接滴定。NaOH滴定H3P04的滴定曲线见图3―7,图中有两个明显的滴定突跃。
由于要准确计算多元酸的滴定曲线,涉及比较麻烦的数学处理,下面我们仅讨论化学计量点pH的计算和指示剂的选择。
第一化学计量点时,溶液组成为NaH2P04,若按最简式计算,将数据代入得pH1=4.66。
选择甲基橙为指示剂,终点由红变黄,分析结果的误差约为一0.5%,在误差允许范围内。若选用甲基红或溴甲酚绿作指示剂会更好。
第二化学计量点的产物为Na2HPO4,按最简式计算,将数据代入得pH2=9.78。
若选用酚酞作指示剂,终点出现过早,有较大负误差。使用百里酚蓝作指示剂,终点颜色由无色变为浅蓝色,结果的误差约为+O.3%。
2、混合酸的滴定
混合酸有三种情况:两种弱酸混合、强酸和强酸混合以及强酸和弱酸的混合。
①? 种弱酸(HA+HB)混合。这种情况与多元酸相似。如Ka(HA)>Ka(HB),允许误差为1%,需c(HA)Ka(HA)≥10-9,可分步滴定HA。如果c(HB)Ka(HB)≥10-9,则较弱酸HB也可以被准确滴定。
②两种强酸混合。用强碱滴定两种强酸,不能分别滴定,但可以测定两种强酸的总量。
③强酸和弱酸的混合。其情况比较复杂,这里不作详细讨论。
3、多元碱的滴定
多元碱滴定的处理方法与多元酸相似,只需将相应计算公式、判别式中的Ka换成Kb即可。
例如用0.10m01・L-1HCl溶液滴定同浓度的Na2C03溶液。Na2C03是二元弱碱,在水溶液中分两步离解:
![]()
由于cKb1>10-9,cKb2=0.1×2.2×10-8=2.2 ×10-9,Kb1/Kb2≈104,可准确分步滴定到第二步,即H2CO3,又因为HCO-3的缓冲作用,第一个滴定突跃不明显。第二个滴定突跃虽然较第一个明显些,但滴定突跃仍然较小。其滴定曲线见图3-8。

在第一化学计量点,产物为NaHCO3。

可选用酚酞为指示剂,但终点颜色较难判断(红~微红或无色),误差可大于1%。若选用甲酚红与百里酚蓝混合指示剂(变色的pH值范围为8.2~8.4,颜色粉红~紫),并使用同浓度NaHC03溶液作参比,终点误差可减少到0.5 %。
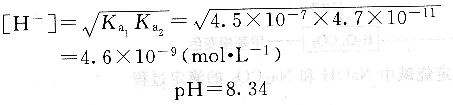
第二化学计量点时产物为H2C03(C02+H20),饱和溶液的浓度约为O.04mo1・L -1。则:

可选用甲基橙作指示剂。由于滴定时易形成CO2的过饱和溶液,致使溶液的酸度稍稍增大,终点出现过早。因此快到终点时,应剧烈地摇动溶液,必要时可加热煮沸溶液以除去C02,冷却后再继续滴定至终点,也可使用参比溶液进行对照。
参考资料:分析化学







