副反应系数和条件稳定常数(一)
发布时间:2017-09-01
在EDTA配位滴定法中,除了被测金属离子M与滴定剂Y之间的主反应外,还可能存在下所示的副反应。

显然,反应物M及Y的各种副反应不利于主反应的进行,生成物MY的副反应则有利于主反应的进行。由于酸式(MHY)、碱式(MOHY)配合物一般不太稳定,所以在有关的计算中,MY的副反应可以忽略不计。
为了定量讨论副反应进行的程度,引入副反应系数a。下面分别讨论M和Y的几种重要的副反应和副反应系数。
一、EDTA的副反应及副反应系数
1、酸效厦及酸效厘系数
当M与Y发生配位反应时,如果有H+存在,就会与Y结合形成它的共轭酸,使Y的平衡浓度降低,主反应将受到影响。这种由于H+的存在使Y参加主反应能力降低的现象称为酸效应。酸效应的大小用酸效应系数衡量,用aY(H)表示。酸效应系数表示在一定pH下,未参加配位反应的EDTA的各种存在形式的总浓度[Y’]与参加配位反应的Y的平衡浓度之比,即:

由上式可知,酸效应系数与EDTA的各级解离常数和溶液的酸度有关。在一定温度下,aY(H)仅随着溶液的酸度而变。溶液的酸度越大,pH越小,aY(H)越大,则酸效应引起的副反应越严重。否则,酸度越小,pH越大,aY(H)越小。当pH≥12时,aY(H)≈1,此时可以忽略酸效应的影响。
为了应用方便,将不同酸度下的aY(H),值列于表4―2。

二、共存离子效应及共存离子效应系数
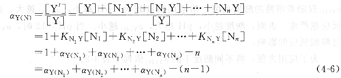
除了金属离子M与Y反应外,共存离子N也可能与Y发生副反应。由于配合物NY的生成,使Y的平衡浓度降低,从而影响Y参加主反应的能力。这种由共存离子引起的副反应称为共存离子效应。共存离子效应的副反应系数称为共存离子效应系数,用aY(N)表示。

式中,KNY是配合物NY的稳定常数;[N]是游离的共存离子N的平衡浓度。若溶液中存在多种共存离子N1、N2、N3、…、NN,则:

当有几种共存离子存在时,aY(N)往往只取其中一种或少数几种影响较大的共存离子副反应系数之和,而其他影响不大的共存离子可忽略不计。
2、 EDTA的总副反应系数aY,
当溶液中同时存在酸效应和一种共存离子N时,EDTA的总副反应系数为:

参考资料:分析化学







