有机污染综合指标测定(三)
发布时间:2017-09-01
硫代硫酸钠溶液[c(Na2 S2 03)=0.0125mol/L]:称取3.2g硫代硫酸钠(Na2 S2 03・5H20)溶于煮沸放冷的水中,加入0.2g碳酸钠,用水稀释至1000mL,贮于棕色瓶,使用前用O.0250mol/L重铬酸钾标准溶液标定。
标准溶液的配制必须使用一级水,所使用的分析天平、滴定管、容量瓶及吸管等量器必须定期检定和校正,标准物质超过有效期或发现有异常、变质等情况时,应停止使用。严禁与普通试剂混放,必要时应冷藏,使用前应将温度恢复至常温,使用时注意保存期限并时刻注意其变化情况。
标定方法:于250mL碘量瓶中加入10mL水和lg碘化钾,加入10.00mL0.025mol/L重铬酸钾标准溶液、5mL(1+5)硫酸溶液,密塞,摇匀。于暗处静置反应5min,反应式:

用硫代硫酸钠溶液滴定生成的碘至溶液呈淡黄色,加入lmL淀粉溶液,继续滴定至蓝色刚好褪去为止,记录用量。反应式:

若淀粉加入太早,则大量的I2与淀粉结合生成蓝色吸附化合物,这一部分I2不容易与Na2S2O3反应,使滴定产生误差。标准溶液硫代硫酸钠溶液的浓度:

式中 c――硫代硫酸钠溶液的浓度,mol/L;
V1――滴定时消耗硫代硫酸钠溶液的体积,mL。
碱性碘化钾一叠氮化钠溶液:溶解500g氢氧化钠于300~400mL水中;溶解150g碘化钾(或135g NaI)于200mL水中;溶解10g叠氮化钠于40mL水中。待氢氧化钠溶液冷却后,将上述三种溶液混合,加水稀释至1000mL,贮于棕色瓶中。用橡皮塞塞紧,避光保存。
氟化钾溶液(400g/L):称取40g氟化钾(KF・2H2 0)溶于水中,用水稀释至100mL,贮于聚乙烯瓶中。
高锰酸钾溶液(6.3g/L):称取6.3g高锰酸钾溶于水并稀释至1000mL,贮于棕色瓶中,1mL此溶液能氧化lmgFe2+。
草酸钾溶液(20g/L):称取2g草酸钾(K2C204・H20)或1.46g Na2C204溶于水并稀释至100mL。lmL此溶液可还原大约1.1mL高锰酸钾溶液。
硫酸铝钾溶液(100g/L):称取10g硫酸铝钾[A1K(S04)2・12H20]溶于水中并稀释至100mL。
硫酸铜-氨基磺酸抑制剂:溶解32g氨基磺酸(NH2 S02 OH)于475mL水中,溶解50g硫酸铜(CuS04・5H2 O)于500mL水中,将两液混合,并加入25mL冰乙酸,混匀。
(3)采样与保存
测定生化需氧量的水样,采集时应充满并密封于瓶中,在0~40C下进行保存,一般应在6h内进行分析,若需要远距离转运,在任何情况下,贮存时问不应超过24h。采样时,要注意不使水样曝气或有气泡残存在采样瓶中,可用水样冲洗采样瓶后,沿瓶壁直接倾注水样或用虹吸法将细管插入采样瓶底部,注入水样至溢流出瓶容积的1/3~1/2。
(4)水样预处理
水样的pH值若超过6.5~7.5范围时,可用硫酸或氢氧化钠稀释溶液调节pH值近于7,但用量不要超过水样体积的0.5%。若水样的酸度或碱度很高,可改用高浓度的碱或酸液进行中和。
(5)测定
①不经稀释水样的测定 溶解氧含量较高、有机物含量较少的地面水,可不经稀释,而直接以虹吸法,将约200C的混匀水样转移人两个溶解氧瓶内,转移过程中应注意不能产生气泡。以同样的操作使两个溶解氧瓶充满水样后溢出少许,加塞。瓶内不应留有气泡。其中一瓶随即测定溶解氧,另一瓶的瓶口进行水封后,放入培养箱中,培养5d。在培养过程中注意添加封口水。从开始放入培养箱算起,经过五昼夜后,弃去封口水,测定剩余的溶解氧。
②经稀释水样的测定 直接稀释法是在溶解氧瓶内直接稀释。在已知两个容积相同(其差小于1mL)的溶解氧瓶内,用虹吸法加入部分稀释水(或接种稀释水),再加入根据瓶容积和稀释比例计算出的水样量,然后用稀释水(或接种稀释水)使刚好充满,加塞,勿留气泡于瓶内。
连续稀释法是先从稀释倍数小的配起,继用第一个稀释倍数的剩余水,再注入适量稀释用水配成第二个稀释倍数,以此类推。
稀释操作:将水样小心混匀(注意勿产生气泡),根据确定的稀释比例,取出所需体积的水样,沿筒壁移人量筒中,然后细心地用虹吸管将配好的稀释水或接种稀释水加至刻度,用特制的搅拌捧在水面以下缓缓上下搅动4~5次,立即将筒中稀释水样用虹吸法注入两个预先编号的培养瓶,注入时使水沿瓶口缓缓流下,以防产生气泡,水样注满后,塞紧瓶塞,于瓶口凹处注满稀释水,此为第一稀释度。
在取出水样的量筒中尚剩有水样,根据第二个稀释度需要再用虹吸法向筒中注入稀释水或接种稀释水,以下分析步骤重复第一稀释度的操作,即为第二稀释度,同样可做第三个稀释度。另取两个编号的溶解氧瓶,用虹吸法注入稀释水或接种稀释水,塞紧瓶盖后用稀释水封口作为空白。
检验各瓶编号,从空白及每一个稀释度水样瓶中各取1瓶放入(20±1)℃的培养箱中培养5d,剩余一瓶测定培养前溶解氧。
每天检查瓶口是否保持水封,经常添加封口水及控制培养箱温度。培养5d后取出培养瓶,倒尽封口水,立即测定培养后的溶解氧。
BOD5测定中,一般采用叠氮化钠改良法测定溶解氧,见溶解氧测定。如遇干扰物质,应根据具体情况采用其他测定方法。
③溶解氧测定水样采集后,为防止溶解氧的变化,应立即加固定剂于样品中,并存于冷暗处,同时记录水温和大气压力。
用吸管插入溶解氧瓶的液面下,加入1mL硫酸锰溶液、2mL碱性碘化钾(或碱性碘化钾一叠氮化钠)溶液,盖好瓶塞,颠倒混合数次,静置。待棕色沉淀物降至瓶内一半时,再颠倒混合一次,待沉淀物下降到瓶底。此固定溶解氧操作一般在取样现场进行。轻轻打开瓶塞,立即用吸管插入液面下加入2.0mL硫酸,小心盖好瓶塞,颠倒混合摇匀至沉淀物全部溶解为止,放置暗处5min,析出碘。移取100.OmL上述溶液于250mL锥形瓶中,用硫代硫酸钠溶液滴定至溶液呈淡黄色,加入1mL淀粉溶液,继续滴定至蓝色刚好褪去为止,记录硫代硫酸钠溶液用量。
含有少量游离氯的水样,一般放置1~2h,游离氯即可消失。对于游离氯在短时间内不能消散的水样,可加入硫代硫酸钠溶液,以除去之。其加入量由下述方法决定:取已中和好的水样100mL,加入(1+1)乙酸10mL,100g/L碘化钾溶液1mL,混匀,以淀粉溶液为指示剂,用硫代硫酸钠溶液滴定游离碘,由硫代硫酸钠溶液消耗的体积计算出水样中应加硫代硫酸钠溶液的量。
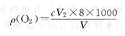
(6)结果计算:

式中p(02)――水中溶解氧的质量浓度,mg/L;
c――硫代硫酸钠溶液的浓度,mol/L;
V2――硫代硫酸钠溶液的用量,mL;
8――与1.OOmL硫代硫酸钠标准溶液[-c(Na2S203)=1.000mol/L]相当以毫克(mg)表示的溶解氧的质量;
V――水样体积,mL。
①不经稀释直接培养的水样:

式中p1――水样在培养前的溶解氧浓度,mg/L;
p2――水样经培养后,剩余溶解氧浓度,mg/L。
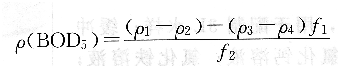
②经稀释后培养的水样

式中p(BOD5)――水样五日生化需氧量的质量浓度,mg/L;
P1――水样培养液在五天前的溶解氧质量浓度,mg/L;
p2――水样培养液在五天后的溶解氧质量浓度,mg/L;
p3――稀释水(或接种稀释水)在五天前的溶解氧质量浓度,mg/L;
p4――稀释水(或接种稀释水)在五天后的溶解氧质量浓度,rag/L;
f1――稀释水(或接种稀释水)在培养液中所占的比例;
f2――水样在培养液中所占的比例。
P3-p4为校正项,对无有机物或极少量有机物的稀释水进行5天培养,消耗的溶解氧应为较小的值,若较大,则测定过程有误差。
参考资料:实用水质检验技术







