单室模型一级消除动力学
发布时间:2017-09-01
下面介绍单室模型一级消除动力学的血药浓度-时间关系的数学表达式、药动学参数。
(一)单剂静脉注射
由于为单室模型,且药物直接进入血管,因此可不考虑吸收和分布的影响,其血药浓度-时问曲线见图18-6,血药浓度的数学表达式为:
或式(1)取对数得:

式中k为消除速率常数。

1.消除速率常数消除速率常数(elimination rate constant,k)表示单位时间消除的药量与该时间内体内药量之比,指体内药物从测量部位消失的速度,由药物的生物转化和排泄过程决定。七是反映体内药物消除快慢的重要参数,k值越大,表明药物消除越快。一个药物的消除速率常数在不同个体间存在较大差异,对同一个体来说,若无明显影响药物体内过程的生理性、病理性改变,则k是恒定的。
2.消除半衰期 消除半衰期(elimination half-life,t1/2)表示体内药量或血中药物浓度下降l/2所需要的时间,单位为时间单位。药物的消除半衰期与清除速率常数一样,可反映体内药物清除速度的快慢。当t=t1/2时,C=C0/2,t1/2=0.693/k。由于k为常数,半衰期亦为常数,半衰期恒定不变,是一级消除动力学的又一特点。一般药物只告知半衰期,但根据k=0.693/t1/2即可求得消除速率常数k。不同药物的消除半衰期不同,即使相同的药物,当药物剂型和给药方式不同时,其消除半衰期也不同。药物的消除半衰期存在个体差异,即使同一个体在不同病理状况下半衰期也会改变,因此需特别注意,药物的生物转化和排泄器官的功能变化,将引起半衰期发生变化。消除半衰期是疾病状态下调整给药方案的重要参考依据。
3.表观分布容积表观分布容积(apparent volume of distribution,V)是为了用血药浓度计算体内药量而引入的比例常数。药物分布平衡后,假设体内的药物按血药浓度均匀分布所需要的容积,即V=Xt/Ct=X0/C0 (式中Xt时间的体内药量,X0为注射量;Ct为t时间的血药浓度,C0为刚注射完时的血药浓度)。单位为体积单位L或L/kg。V表示给药剂量或体内药量与血药浓度的一个比值,表明当所给剂量如以该药的血药浓度来分布所需的理论体积数。V越大,表示药物分布广,组织摄取多,而血药浓度低。V是一个理论容积,无直接的生理意义,并不代表真实的容积,V仅取决于药物本身的理化性质,反映药物分布的广泛程度或药物与组织成分的结合度。
4.血药浓度-时间曲线下面积 曲线下面积(area under the curve,AUC)指血药浓度-时问曲线下所围的面积,单位为浓度单位×时间单位。AUC代表一次用药后药物的吸收总量,反映药物的吸收程度。AUC主要用于测定生物利用度,以及用于其他药物动力学参数的计算。血药浓度-时问曲线下面积常用积分法公式和梯形法计算。
5.药物清除率 药物清除率(drug cleatance,DC)表示药物从机体内清除的药物动力学参数。其定义为单位时间内机体清除药物的表观分布容积。单位为m1/min。DC表示从血液或血浆中清除药物的速率,反映药物排泄器官和代谢器官消除药物的能力,受器官血流量、药物与血浆蛋白结合程度及器官的功能状态等多种因素的影响。药物在体内的清除率分为总清除率(Cl总)、肝清除率(Cl肝)、肾清除率(Cl肾)、肺清除率(Cl肺)和其他途径的清除率(Cl其他)。清除率具有加和性,即总体清除率等于药物从各个途径清除率的总和。

在临床药物动力学中,在制订与调整给药方案时,总体清除率是十分重要的参数。
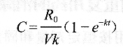
(二)恒速静脉滴注
恒速静脉滴注用药为危重病症治疗中常用的方法。与单剂静脉注射不同,此时药物一方面以恒速的零级动力学方式进入体内,又一方面按一级动力学的方式从体内恒消除。其血药浓度.时间关系表达式为:

式中R0为滴注速度,k为消除速率常数,t为滴注时间。
1.稳态血药浓度 稳态血药浓度(steady state plasma concentiation,Css)是指从体内消除的药量与进入体内的药量相等时的血药浓度。此时血药浓度将维持在坪值或波动在一定范围内(多剂用药时)。恒速静脉滴注时,只要滴注速度能使体内药量保持在一级动力学范围内,当滴注时问t→o时,式(3)e-kt→0,式(3)可写成:

上式中R0、k、V均是常数,故血药浓度亦为常数,即达到稳态浓度Css从上式可知,欲达所需的Css,应使用的滴注速度R0=Css・V・k。若时间以半衰期数n表示,即t=ntl/2=0.693n/k。当n=6时,e-kt=0.0156,可视为趋近于0。因此临床上恒速静脉滴注时,经6个半衰期后,可视为已达稳态浓度。
2.负荷剂量 由于达到Css至少需6个半衰期。对于半衰期长的药物为了能立即达到治疗药物浓度则首先给一个负荷剂量(10ading dose,D)。

(三)血管外单剂用药
包括除直接血管内用药外的肌内注射、皮下注射、口服等方式。此时既存在药物从用药部位以一级动力学方式吸收入血液中,也同时存在药物从血液中以一级动力学方式消除。
其血药浓度-时间关系表达式为:

式中F为生物利用度,ka为吸收速率常数,X0为用药量。
1.生物利用度又称吸收分数(absorption fraction,F),指血管外用药时,药物被机体吸收进入体循环的速度和程度,包括生物利用程度(extent of bioavailability,EBA)与生物利用速度(rate ofbioavailability,RBA)。
生物利用度有绝对生物利用度与相对生物利用度之分。绝对生物利用度(absolutebioavailability,Fabs)是药物吸收进入体循环的量与给药剂量的比值。相对生物利用度(relativebioavailability,Frel)是同一药物一种剂型和另一种剂型之间比较吸收程度与速度而得到的生物利用度。相对生物利用度主要用于药剂等效性研究。
2.吸收速率常数 吸收速率常数(absorption rate constant,ka)表示单位时间内机体从用药部位吸收的固定比值,单位为时间的倒数,反映药物被吸收的快慢。
3.达峰时间 血管外用药时,其血药浓度首先上升,达到某一浓度后转为下降。达到最高血药浓度所需的时间即达峰时间(time ofthe peak concentration,tp)。

4.峰浓度峰浓度(maximum concentration,Cmax)指血管外用药时所能达到的最大浓度。
参考资料:骨代谢异常的生物化学检验







