首页>技术中心>技术资讯>少量数据的统计处理――t分布曲线 (一)
少量数据的统计处理――t分布曲线 (一)
发布时间:2017-09-01
态分布是对无限次测量而言的,而在实际工作中,只能对随机抽得的样本进行有限次测定。数据处理的任务就是通过对有限次测量数据合理的分析,对总体做出科学的论断。其中包括对总体平均值的估计和对它的统计检验。
对于有限次测定,通常无法知道总体标准偏差σ和总体平均值µ,只能用样本标准偏差s来估计测量数据的分散情况。用s代替σ,必然引起误差,从而导致正态分布的偏离,这时可用t分布来代替,以补偿这一误差。t分布是由英国统计学家兼化学家戈塞特(W.S.Gosset)提出的。t的定义与u一致,只是用s代替σ,即:

也可衍生出:

t分布如图2―5所示,纵坐标同正态分布仍为概率密度y,但横坐标则将u改为用t表示。由图可见,t分布曲线与正态分布曲线相似,只是t分布曲线因自由度f的不同而不同。当f>20时,二者很接近,当f→∞时,t分布就趋近正态分布。

与正态分布曲线一样,t分布曲线下面某区问的面积,也表示测定值或随机误差出现的概率。应该注意,对于正态分布曲线,只要“值一定,相应的概率也就一定;但对于t分布曲线,当t值一定时,由于f值的不同,相应曲线所包围的面积,即概率却不同。不同概率及不同厂值所相应的t值已有数学家计算出来,表2-2列出了部分常用的t值。由于t值与置信度及自由度有关,所以通常用ta,f表示。α=1-ρ,根据置信度的定义,α为测定值落在某区间之外的概率,称为显著性水平。t0.05,9=2.26表示概率(置信度)为95%,自由度f为9(测定次数n为10)时的t值。

平均值的置信区间:
如前所述,只有当n→∞,x→μ,才能准确地找到总体平均值µ,显然,实际上是做不到的。从“2.2.2偶然误差的区间概率”可知,如果用单次测定结果(x)对总体平均值µ的范围作出估计,则µ包括在x±1ρ范围内的概率为68.3%,在x±1.96ρ范围内的概率为95.0%,在x±2ρ范围内的概率为95.5%……它的数学表达式为:

若以样本平均值x

在实际工作中,对于少量测量数据,必须根据t分布进行统计处理,按t的定义可得出:

式(2-22)表示:在一定置信度下,总体平均值(真值)µ将在测定平均值x
只要选定置信度,从测定结果的x
置信区问的宽窄与置信度、测定值的精密度、测定次数有关,当测定值的精密度愈高(s愈小)测定次数(n)愈大时,置信区间愈窄,即平均值愈接近真值,平均值愈可靠。
置信度选得愈高,置信区间就愈宽,其区间包括真值的概率也就愈大,在分析化学中,一般选置信度95%或90%。
显著性检验:
在实际工作中,对试样的分析结果,可能与标准值不同;或者两种方法、两个实验室或两名分析人员对同一试样的分析结果会彼此不同,其原因可能是存在着随机误差或系统误差。如果是随机误差所致,那么从统计学来说是正常的;但如果是系统误差所致,那就称此两组结果存在显著性差异。要确定是否存在系统误差,就要作显著性检验。在定量分析中常用t检验法和F检验法。
t检验法:
(1)平均值与标准值的比较
为了评价某一分析方法或操作过程的可靠性,可将分析数据的平均值与试样的标准值进行比较,检验两者有无显著性差异,以确定分析方法是否存在系统误差。
作t检验时,先将标准值µ与平均值x

再根据置信度(通常为95%)和自由度f,由t分布表中查出t值。
若t计算>t表,则说明x
(2)两组数据平均值的比较
不同分析人员或同一分析人员采用不同方法分析同一试样,所得的平均值,经常是不完全相等的。为了比较两组数据是否有显著性差异,亦可采用t检验法。
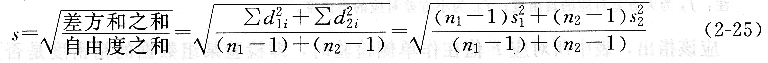
若两组测定结果分别为(x

若无显著性差异,进而用t检验法检验两组平均值之间有无显著性差异。按下式计算t值。

在一定置信度下,查得表值t表(总自由度f=n1+n2―2),若t计>t表,则两平均值有显著性差异。若t计<t表,则不存在显著性差异。
参考资料:分析化学







