首页>技术中心>技术资讯>傅里叶变换红外光谱仪的结构与原理(二)
傅里叶变换红外光谱仪的结构与原理(二)
发布时间:2017-09-01
6、定量分析方法
一般采用峰高法或峰面积法。
红外光谱定量分析中一般采用基线法,即采用新基线代替零吸收线进行补偿。选谱带两侧吸光度最小的两点A和B,连成直线AB作为新的基线求峰高(即峰高法),如图7.8所示。
求峰面积与峰高法一样采用基线法,用新基线代替零吸收线进行补偿。如图7.9所示,大基线选择AB,峰面积从a积到b。


7、红外谱图解析
红外吸收区域划分如下:
(1)4000~2500cm-1:这个区域可以称为X―H伸缩振动区,X可以是O,N,C和S原子,它们出现的范围如下:
O―H 3650~3200cm-1
N―H 3500~3000cm-1
C―H 31OO~2800cm-1
S―H 2600~2500cm-1
(2)2500~2000cm-1:这个区域可以称为叁键和累积双键区,其中主要包括有-c=C一,一C= N一等叁键的伸缩振动和累积双键-C=C=C-,一C=C=O,一N=C=O等的反对称伸缩振动,累积双键的对称伸缩振动出现在1100cm-1的指纹区里。
(3)2000~1500cm :这个区域可以称为双键伸缩振动区,萁中主要包括C―C,C―O,C―N,一NO。等的伸缩振动,以及 NH。基的剪切振动、芳环的骨架振动等。
(4)1500~600cm-1:是部分单键振动及指纹区,这个区域的光谱比较复杂,主要包括C―H,O―H的变角振动,C―O,C―N,C―X(卤素),N―O等的伸缩振动及与C―C,C―O有关的骨架振动等。
8、镜面反射光谱技术
镜面反射光谱技术用于收集平整、光洁的固体表面的光谱信息,如金属表面的薄膜、金属表面处理膜、食品包装材料和饮料罐表面涂层、厚的绝缘材料、油层表面、矿物摩擦面、树脂和聚合物涂层,铸模塑料表面等。
在镜面反射测量中,由于不同波长位置下的折射指数有所区别,因而在强吸收谱带范围内,经常会出现类似于导数光谱的特征,这样测得的光谱难以解释。
如使用K-K(Kramers-Kronig)变换为吸收光谱后,可解决解析上的困难,如图7.10所示。

9、漫反射光谱技术
漫反射光谱技术是收集高散射样品的光谱信息,适合于粉末状的样品。
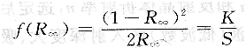
漫反射红外光谱测定法其实是一种半定量技术,将DR(漫反射)谱经过KM(Kubelka-Munk)方程校正,如:

式中,f(R∞)是指校正后的光谱信号强度;R∞是指试样在无限深度下(大于3cm)与无红外吸收的参照物(如KBr)漫反射之比;K为分子吸收系数(常数);S为试样散射系数(常数)。
DR原谱横坐标是波数,纵坐标是漫反射比R∞,经Kubelka―Munk方程校正后,最终得到的漫反射光谱图与红外吸收谱图相类似,如图7.11所示。DR测量时.无需KBr压片,直接将粉末样品放人试样池内,用KBr粉末稀释后,测其DR谱。用优质的金刚砂纸轻轻磨去表面的方法进行固体制样,可大大简化样品准备过程。并且在砂纸上测量已被磨过的样品,可以得到高质量的谱图。由于金刚石的高散射性,用金刚石的粉末磨料可得到很好的结果。

10、衰减全反射光谱技术
衰减全反射光谱(ATR)技术用于收集材料表面的光谱信息,适合于普通红外光谱无法测定的厚度大于0.1mm的塑料、高聚物、橡胶和纸张等样品。
衰减全反射附件应用于样品的测量,各谱带的吸收强度不但与试样的吸收性质有关,还取决于光线的入射深度,其关系如下:

式中,dp为入射深度;a为人射角;λ1为光在光密介质即多重反射晶体中的波长;n1为反射晶体的折射率;n2为样品的折射率。式(7.6)表明,贯穿深度是人射光波长λ1的函数,当入射角a和反射晶体折射率n1选定后,样品折射率是固定的,那么,dp与λ1成正比。长波(低波数)区入射深度大、吸收强,短波区则相反,这样所获得的ATR红外谱图就需要经过MIR方程校正,如图7.12所示。

参考资料:现代仪器分析实验与技术







