GR/1kg
产品图片
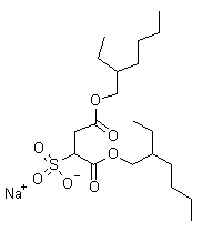
分子结构式 |
产品编号:QS109259 中文名称:二辛基磺化丁二酸钠;英文名称:Dioctyl CAS编号:577-11-7 分子式:C20H37NaO7S 分子量:444.56 MSDS |
基本信息
| 性 状: | 白色蜡状固体。有特殊气味。稍吸湿。在酸性及中性溶液中稳定,在碱性溶液中分解。易溶于水与乙醇的混合液和水与其他有机溶剂的混合液,溶于水、乙醇、四氯化碳、石油醚、二甲苯、丙酮和植物油等。水中溶解度(g/L)15(25℃)、23(40℃)、30(50℃)、55(70℃)。有刺激性。 |
| 储 存: | 密封干燥保存。 |
| 用 途: | 表面活性剂。乳化剂。湿润剂。清洗剂。 |
关于以上产品的其他资讯或其他品类试剂,请登录http://www.qiaosun.cn了解,如果您对本产品有什么问题,请直接来电咨询:400-622-6992。“乔科化学试剂公司”主营:化学试剂、卡尔费休试剂、色谱纯试剂、高纯试剂、通用有机试剂、
用无机试剂、环保试剂、生化试剂、标准物质、分析纯试剂、玻璃仪器、耗材器具等





