250ml
产品图片
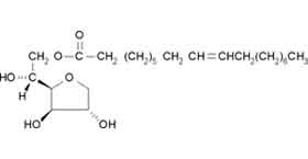
分子结构式 |
产品编号:QS102236 中文名称:司班80、山梨糖醇酐单油酸酯、清凉茶醇油酸一酯、油酸清凉茶醇、失水山梨醇单油酸酯英文名称:Sorbitan CAS编号:1338-43-8 分子式:C24H44O6 分子量:428.59 MSDS |
基本信息
| 性 状: | 黄至琥珀色黏性油状液体。有脂肪气味。溶于乙醇、异丙醇、矿物油、植物油,不溶于水和丙二醇。相对密度 (d204)1.00~1.05。熔点 10~12℃。亲水亲油值(HLB)4.3。黏度约1000mPa·s(25℃)。酸值5~8。皂化值 140~160。羟值 193~215。闪点 210℃。 |
| 储 存: | 密封阴凉干燥保存。 |
| 用 途: | 非离子型表面活性剂。水/油型乳化剂。气相色谱固定液(最高使用温度150℃,溶剂为甲醇),分离分析含氧化合物。稳定剂。食品、化妆品、药物用增稠剂。纺织工业用纤维润滑剂和软化剂 |
关于以上产品的其他资讯或其他品类试剂,请登录http://www.qiaosun.cn了解,如果您对本产品有什么问题,请直接来电咨询:400-622-6992 。“乔科化学试剂公司”主营:化学试剂、卡尔费休试剂、色谱纯试剂、高纯试剂、通用有机试剂、
用无机试剂、环保试剂、生化试剂、标准物质、分析纯试剂、玻璃仪器、耗材器具等





