您好!欢迎阁下光临乔科化学!帮助中心 |网站导航 | 新浪微博

首页>产品中心>产品详细

AR/GCS/在线咨询
原钛酸四异丙酯、钛酸异丙酯、钛酸四异丙酯、异丙氧基钛(IV)

产品图片

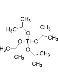
分子结构式

产品编号:QS102399

中文名称:原钛酸四异丙酯、钛酸异丙酯、钛酸四异丙酯、异丙氧基钛(IV)

英文名称:Titanium(IV)isopropoxideTi

CAS编号:546-68-9

分子式:[OCH(CH3)2]4 分子量:284.22

MSDS
COA
(请向具体销售顾问索取)

基本信息    
性   状: 无色至浅黄色液体。在潮湿空气中发烟,在水中很快 水解。溶于无水乙醇、乙醚、苯和氯仿。相对密度 (d204)0.9711。熔点 约20℃。沸点 220℃、104℃(1.33kPa)。折光率 (n20D)1.4640。闪点 22℃。易燃。有刺激性。
储   存: 密封阴凉干燥保存。
用   途: 聚合催化剂。酯交 换反应。能将涂料、橡胶、塑料粘附到金属上去。
 
联盟委员交流群
156018797
统一服务热线
400-6226-992
全国化工行业净网倡议书