您好!欢迎阁下光临乔科化学!帮助中心 |网站导航 | 新浪微博

首页>产品中心>产品详细

AR/GCS/在线咨询
硝酸亚

产品图片

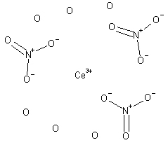
分子结构式

产品编号:QS109197

中文名称:硝酸亚

英文名称:Cerium(III)

CAS编号:10294-41-4

分子式:Ce(NO3)3· 分子量:434.22

MSDS
COA
(请向具体销售顾问索取)

基本信息    
性   状: 无色结晶。易吸湿。当有微量镧、镨和钕存在时呈红色。150℃时失去3分子结晶水,200℃以上分解。溶于水、乙醇和丙酮。低毒,半数致死量(大鼠,经口)3630mg/kg。有刺激性。
储   存: 密封阴凉干燥保存。
用   途: 制造白炽灯纱罩。从其他稀土金属中分离铈。磷酸酯水解催化剂。
 
联盟委员交流群
156018797
统一服务热线
400-6226-992
全国化工行业净网倡议书