您好!欢迎阁下光临乔科化学!帮助中心 |网站导航 | 新浪微博

首页>产品中心>产品详细

AR/GCS/在线咨询
/

产品图片

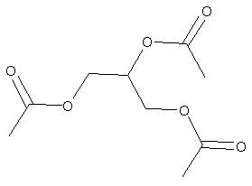
分子结构式

产品编号:QS1010949

中文名称:/

英文名称:

CAS编号:102-76-1

分子式:C9H14O6 分子量:218.21

MSDS
COA
(请向具体销售顾问索取)

基本信息    
性   状: 无色油状液体。微有脂肪气味。有苦味。能与乙醇、乙醚和氯仿混溶,溶于14份水,微溶于二硫化碳。相对密度(d204)1.1596。熔点-78℃。沸点258~260℃。折光率(n20D)1.4307。闪点148℃。低毒,半数致死量(大鼠,经口)3000mG/kG。
储   存: 密封阴凉保存。
用   途: 测定脂酶的底物。香料固定剂。溶剂。气相色谱固定液(最高使用温度85℃,溶剂为甲醇、氯仿),分离分析气体和醛。
 
联盟委员交流群
156018797
统一服务热线
400-6226-992
全国化工行业净网倡议书