您好!欢迎阁下光临乔科化学!帮助中心 |网站导航 | 新浪微博

首页>产品中心>产品详细

AR/GCS/在线咨询
维他命D3、维生素丁3、胆钙化醇、胆钙化甾醇

产品图片

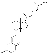
分子结构式

产品编号:QS1012178

中文名称:维他命D3、维生素丁3、胆钙化醇、胆钙化甾醇

英文名称:Calciol、7-Dehydrocholesterol

CAS编号:67-97-0

分子式:C27H44O 分子量:384.65

MSDS
COA
(请向具体销售顾问索取)

基本信息    
性   状: 无色细针状结晶。无气味。不被毛 地黄皂苷沉淀(不同于7-脱氢胆甾醇)。在潮湿空气中几天就氧化失活,纯结晶在棕色真空安瓿中、冰箱内存放一年后,仅有极微量变质。通常维生素D3要比维生素D2稳定。对光敏感。溶于一般有机溶剂,微溶于植物油,几乎不溶于水。熔点 84~85℃。比
储   存: 充氩密封4℃干 燥避光保存。 
用   途: 生化研究。
 
联盟委员交流群
156018797
统一服务热线
400-6226-992
全国化工行业净网倡议书