AR/GCS/在线咨询
产品图片
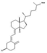
分子结构式 |
产品编号:QS104167 中文名称:维他命D3、维生素丁3、胆钙化醇、胆钙化甾醇英文名称:Vitamin CAS编号:67-97-0 分子式:C27H44O 分子量:384.65 MSDS |
基本信息
| 性 状: | 无色细针状结晶。无气味。不被毛 地黄皂苷沉淀(不同于7-脱氢胆甾醇)。在潮湿空气中几天就氧化失活,纯结晶在棕色真空安瓿中、冰箱内存放一年后,仅有极微量变质。通常维生素D3要比维生素D2稳定。对光敏感。溶于一般有机溶剂,微溶于植物油,几乎不溶于水。熔点 84~85℃。比旋光度 [α]20D+84.8°(c=1.6,丙酮中)、+51.9°(c=1.6,氯仿中)。最大吸收波长(乙醇或己烷中) 264.5nm(E1%1cm 450~490)。有毒。 |
| 储 存: | 充氩密封4℃干 燥避光保存。 |
| 用 途: | 生化研究。 |





