您好!欢迎阁下光临乔科化学!帮助中心 |网站导航 | 新浪微博

首页>产品中心>产品详细

AR/在线咨询
辅酶

产品图片

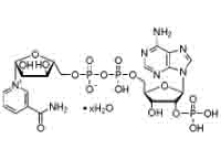
分子结构式

产品编号:QS104000

中文名称:辅酶

英文名称:Coenzyme

CAS编号:53-59-8

分子式:C21H28N7O17P3 分子量:743.41

MSDS
COA
(请向具体销售顾问索取)

基本信息    
性   状: 白色或灰白色粉末。极易吸潮。溶于水和甲醇,较少溶于乙醇,几乎不溶于乙醚和乙酸乙酯。最大吸收波长260nm(ε18000)
储   存: 密封4℃干燥保存。
用   途: 生化研究。
技术参数     
质检项目 指标值
含量(C21H28N7O17P3),% ≥80.0
 
联盟委员交流群
156018797
统一服务热线
400-6226-992
全国化工行业净网倡议书