您好!欢迎阁下光临乔科化学!帮助中心 |网站导航 | 新浪微博

首页>产品中心>产品详细

AR/在线咨询
D(+)-生物素;辅酶R;维生素B7;维生素H

产品图片

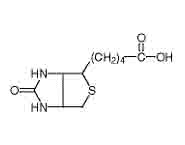
分子结构式

产品编号:QS104140

中文名称:D(+)-生物素;辅酶R;维生素B7;维生素H

英文名称:D(+)-Biotin;Bios

CAS编号:58-85-5

分子式:C10H16N2O3S 分子量:244.31

MSDS
COA
(请向具体销售顾问索取)

基本信息    
性   状: 无色细长针状结晶。纯品在室温及空气中稳定。在中性或中等酸性溶液中能稳定数月,碱溶液中不稳定,水溶液易长霉菌,酸溶液可加热灭菌。易溶于热水和稀碱液,不溶于其他一般有机溶剂。熔点232~233℃。比旋光度 [Е联]21D+91°(c=1,0.1mol/L氢氧化钠中)。
储   存: 密封干燥避光保存。
用   途: 生化研究。
技术参数     
质检项目 指标值
比旋光度[α](20℃,D),°·m2/kg +89.0~+93.0
含量(C10H16N2O3S) 97.5~100.5
 
联盟委员交流群
156018797
统一服务热线
400-6226-992
全国化工行业净网倡议书