您好!欢迎阁下光临乔科化学!帮助中心 |网站导航 | 新浪微博

首页>产品中心>产品详细

AR/GCS/在线咨询
肌血红质,酵母;

产品图片

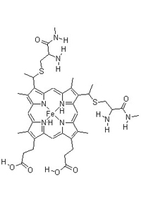
分子结构式

产品编号:QS1012134

中文名称:肌血红质,酵母;

英文名称:Myohematin;

CAS编号:9007-43-6

分子式: 分子量:

MSDS
COA
(请向具体销售顾问索取)

基本信息    
性   状: 桃红色或深红色冷冻干粉。易溶于水和酸性溶液。
储   存: 充氮密封4℃干燥保存。
用   途: 生化研究。
 
联盟委员交流群
156018797
统一服务热线
400-6226-992
全国化工行业净网倡议书