您好!欢迎阁下光临乔科化学!帮助中心 |网站导航 | 新浪微博

首页>产品中心>产品详细

CP/250g
碱式碳酸镁,五水;盐基性碳酸镁

产品图片

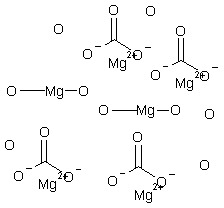
分子结构式

产品编号:QS101023

中文名称:碱式碳酸镁,五水;盐基性碳酸镁

英文名称:Magnesium

CAS编号:56378-72-4

分子式:(MgCO3)4·Mg(OH)2·5H2O 分子量:485.65

MSDS
COA
(请向具体销售顾问索取)

基本信息    
性   状: 白色疏松的粉末。无气味。约在700时能分解成氧化镁。溶于稀酸放出二氧化碳,溶于约3300份不含二氧化碳的水,较多溶于含有二氧化碳的水,不溶于乙醇。在水中呈微碱性反应。
储   存: 密封干燥保存。
用   途: 制造镁盐。热绝缘材料。过滤介质。

关于以上产品的其他资讯或其他品类试剂,请登录http://www.qiaosun.cn了解,如果您对本产品有什么问题,请直接来电咨询:400-622-6992 。“乔科化试剂公司”主营:化学试剂卡尔费休试剂、色谱纯试剂高纯试剂通用有机试剂

用无机试剂环保试剂生化试剂标准物质分析纯试剂玻璃仪器耗材器具

 
联盟委员交流群
156018797
统一服务热线
400-6226-992
全国化工行业净网倡议书