您好!欢迎阁下光临乔科化学!帮助中心 |网站导航 | 新浪微博

首页>产品中心>产品详细

AR/GCS/在线咨询
牛胆酸钠

产品图片

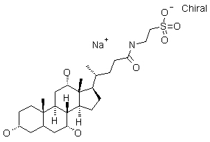
分子结构式

产品编号:QS102481

中文名称:牛胆酸钠

英文名称:Taurocholic

CAS编号:145-42-6

分子式:C26H44NNaO7S 分子量:537.69

MSDS
COA
(请向具体销售顾问索取)

基本信息    
性   状: 无色结晶(含1.5或2分子结晶水)。 先甜而后苦。有吸湿性。易溶于水和乙醇,不溶于乙醚。熔点 230℃(分解)。比旋光度[Е联]20D+24°(c=3,水中)。有刺激性。
储   存: 密封阴凉干燥保存。
用   途: 脂酶加速剂。制备细菌培养基(肠道细菌培养与分离)。
 
联盟委员交流群
156018797
统一服务热线
400-6226-992
全国化工行业净网倡议书