您好!欢迎阁下光临乔科化学!帮助中心 |网站导航 | 新浪微博

首页>产品中心>产品详细

CP/100g
乙二胺四乙酸镁二钠盐

产品图片

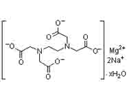
分子结构式

产品编号:QS102767

中文名称:乙二胺四乙酸镁二钠盐

英文名称:Ethylenediaminetetraacetic

CAS编号:14402-88-1

分子式: 分子量:430.56

MSDS
COA
(请向具体销售顾问索取)

基本信息     
性   状: 白色结晶性粉末。无水物易潮解。溶于水和酸,微溶于乙醚。
储   存: 密封阴凉干燥保存。
用   途: 络合剂,测定钢铁中镍、络、锰离子(用于取代滴定)。
质检信息     
质检项目 指标值
澄清度试验 合格
重金属(以Pb计),% ≤0.001
铁(Fe),% ≤0.002
含量,% 98.5~101.0

 
联盟委员交流群
156018797
统一服务热线
400-6226-992
全国化工行业净网倡议书