您好!欢迎阁下光临乔科化学!帮助中心 |网站导航 | 新浪微博

首页>产品中心>产品详细

AR/在线咨询
四丁基硫酸氢铵

产品图片

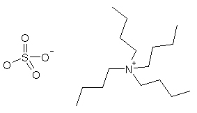
分子结构式

产品编号:QS103136

中文名称:四丁基硫酸氢铵

英文名称:Tetrabutylammonium

CAS编号:32503-27-8

分子式:C16H37NO4S 分子量:339.53

MSDS
COA
(请向具体销售顾问索取)

基本信息    
性   状: 结晶。易吸湿。熔点 169~171℃。有刺激性。商品尚有浓缩溶液
储   存: 密封干燥保存。
用   途: 离子对色谱试剂。相转移催化剂
技术参数     
质检项目 指标值
熔点范围/℃ 169.0~172.0
干燥失量,% ≤0.4
含量(C16H37NSO4),% ≥99.0
 
联盟委员交流群
156018797
统一服务热线
400-6226-992
全国化工行业净网倡议书