您好!欢迎阁下光临乔科化学!帮助中心 |网站导航 | 新浪微博

首页>产品中心>产品详细

AR/GCS/在线咨询
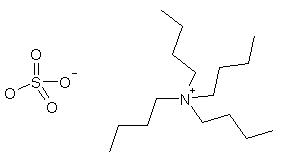
硫酸氢四丁铵

产品图片

分子结构式

产品编号:QS102458

中文名称:硫酸氢四丁铵

英文名称:

CAS编号:32503-27-8

分子式:(CH3CH2CH2CH2)4N(HSO4) 分子量:339.54

MSDS
COA
(请向具体销售顾问索取)

基本信息    
性   状: 结晶。易吸湿。熔点 169~171℃。有刺激性。商品尚有浓缩溶液
储   存: 密封干燥保存。
用   途: 离子对色谱试剂。相转移催化剂
 
联盟委员交流群
156018797
统一服务热线
400-6226-992
全国化工行业净网倡议书